Free Access

Fig. 14

image

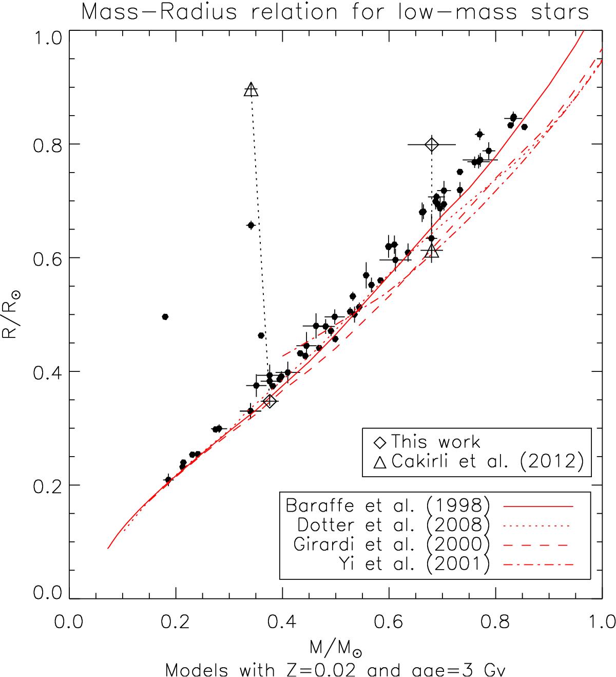
Mass-radius relations of stars between 0.2 and 1.0 M predicted by four stellar models (see text). The filled circles represent well-known LMDEB, used as benchmarks for the models. The triangles represent the location of T-Cyg1-12664 in the Çakırlı et al. (2013) paper and the diamonds are our solution for this system. We connect the two solutions for the primary and the secondary with a dotted line to guide the eye to the difference in the physical parameters that arise from the two solutions. Metallicity and age are set for reference of the whole set of stars and they are not a fit to the T-Cyg1-12664 parameters.

Current usage metrics show cumulative count of Article Views (full-text article views including HTML views, PDF and ePub downloads, according to the available data) and Abstracts Views on Vision4Press platform.

Data correspond to usage on the plateform after 2015. The current usage metrics is available 48-96 hours after online publication and is updated daily on week days.

Initial download of the metrics may take a while.