Free Access

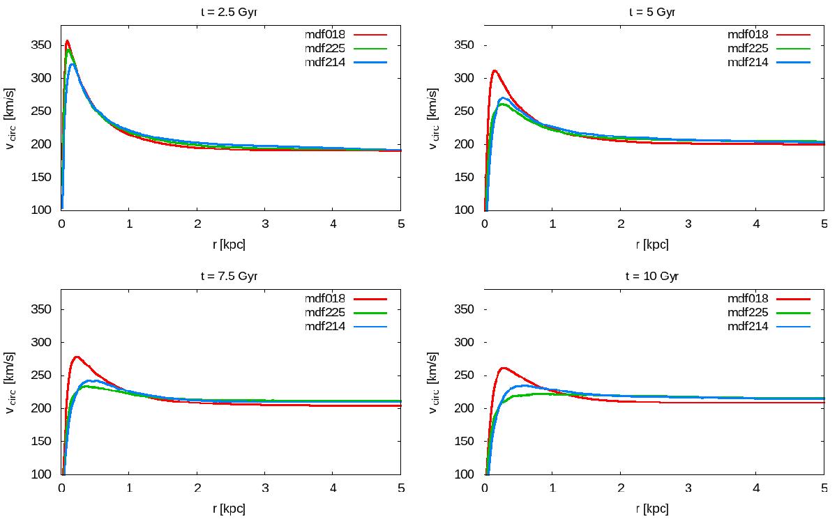
Fig. 1

image

Central part of the circular velocity profiles for models mdf018 (high resolution model), mdf225 (low resolution model), and mdf214 (low resolution models with two times bigger softening) at times 2.5, 5, 7.5, and 10 Gyr. This is calculated from the total mass distribution, assuming spherical symmetry.

Current usage metrics show cumulative count of Article Views (full-text article views including HTML views, PDF and ePub downloads, according to the available data) and Abstracts Views on Vision4Press platform.

Data correspond to usage on the plateform after 2015. The current usage metrics is available 48-96 hours after online publication and is updated daily on week days.

Initial download of the metrics may take a while.