Free Access

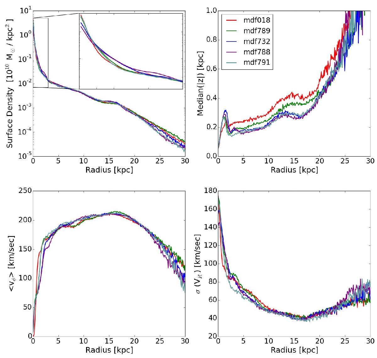
Fig. 2

image

Comparison of various radial profiles for the stellar component of five models with different AGN feedback parameters: mdf018 (no AGN), mdf789 (TAGN = 5 × 106 K, ρAGN = 1 M/pc3), mdf732 (TAGN = 1 × 107 K, ρAGN = 1 M/pc3), mdf788 (TAGN = 2 × 107 K, ρAGN = 1 M/pc3), and mdf791 (TAGN = 1 × 107 K, ρAGN = 2 M/pc3), all at t = 10 Gyr. From left to right and top to bottom: surface density, median of the absolute value of z, which is a good approximation for thickness (Sotnikova & Rodionov 2006), mean value of the azimuthal velocity and radial velocity dispersion. The inlay in the upper left panel shows the surface density in the innermost region (within 3 kpc).

Current usage metrics show cumulative count of Article Views (full-text article views including HTML views, PDF and ePub downloads, according to the available data) and Abstracts Views on Vision4Press platform.

Data correspond to usage on the plateform after 2015. The current usage metrics is available 48-96 hours after online publication and is updated daily on week days.

Initial download of the metrics may take a while.