Free Access

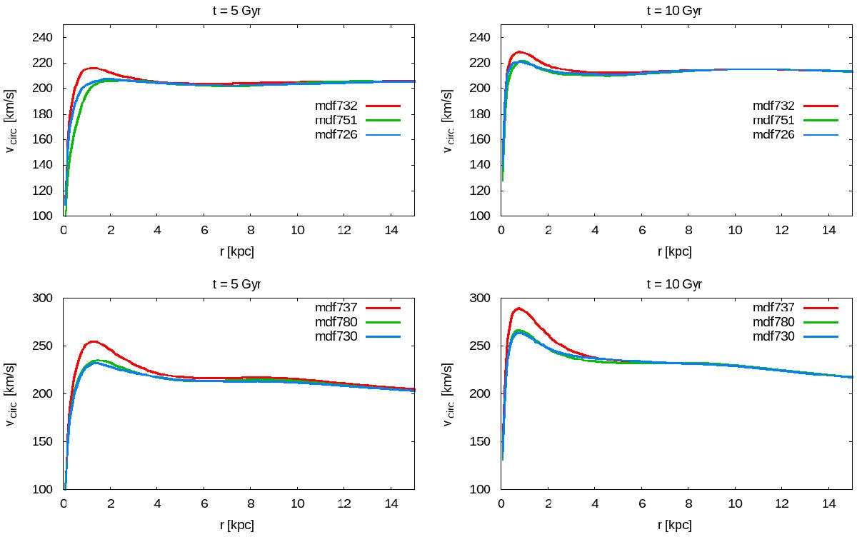
Fig. 5

image

Comparison of circular velocity profiles (at 5 and 10 Gyr) for models with and without Eddington limits. The upper row shows two models with Eddington limit (mdf732 TAGN = 1 × 107 K and mdf751 TAGN = 1.5 × 107 K) and one model without Eddigton limit (mdf726 TAGN = 1 × 107 K). The lower panels also display three models: two with Eddigtion limit (mdf737 TAGN = 2 × 107 K, and mdf780 TAGN = 2.5 × 107 K) and one model without (mdf730 TAGN = 2 × 107 K).

Current usage metrics show cumulative count of Article Views (full-text article views including HTML views, PDF and ePub downloads, according to the available data) and Abstracts Views on Vision4Press platform.

Data correspond to usage on the plateform after 2015. The current usage metrics is available 48-96 hours after online publication and is updated daily on week days.

Initial download of the metrics may take a while.