Free Access

Fig. 3

image

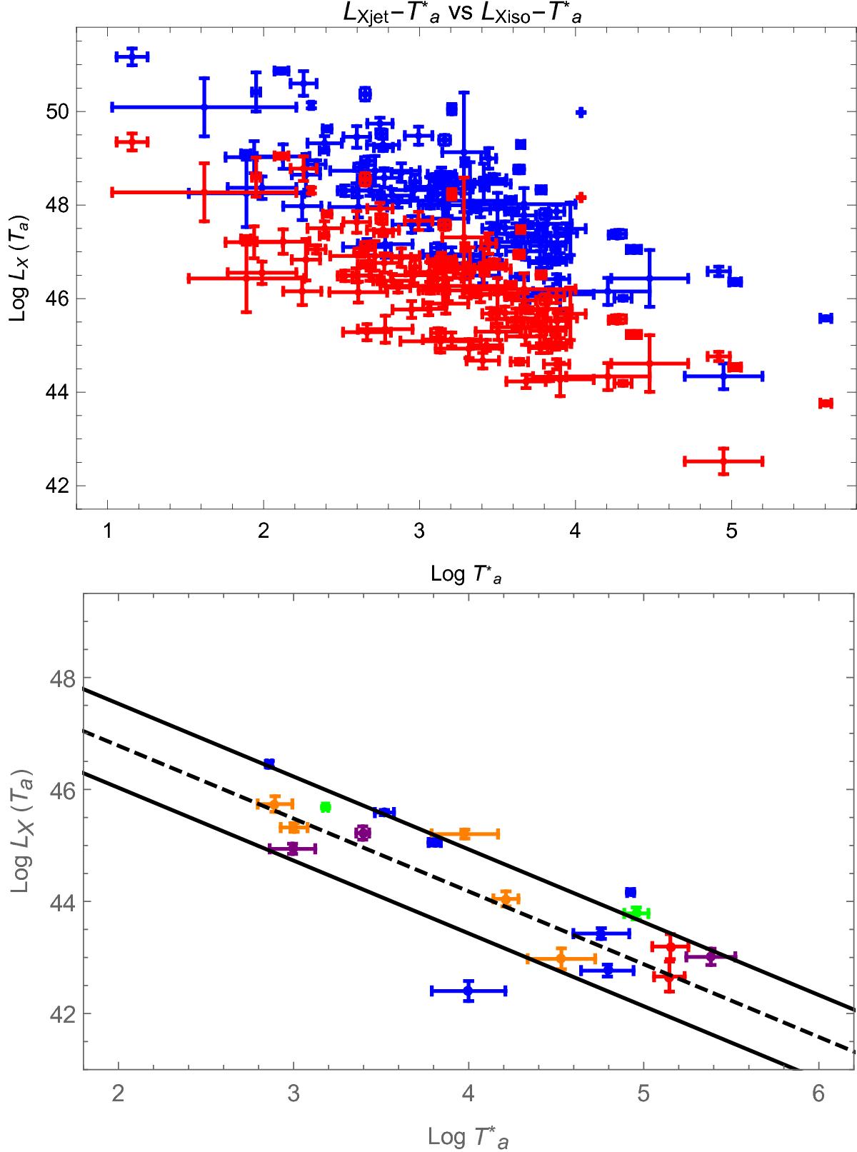
Upper panel: the analyzed log LX vs. distributions for LONG-NO-SNe computed assuming isotropic luminosity (blue points) and beamed luminosity (red points). Lower panel: the analyzed distribution of log LX,jet vs. corrected for beamed luminosity for the GRB-SNe divided in categories as explained in Table 2. Category A: red points; B: orange; C: green; D: purple; and E: blue.

This figure is made of several images, please see below:

Current usage metrics show cumulative count of Article Views (full-text article views including HTML views, PDF and ePub downloads, according to the available data) and Abstracts Views on Vision4Press platform.

Data correspond to usage on the plateform after 2015. The current usage metrics is available 48-96 hours after online publication and is updated daily on week days.

Initial download of the metrics may take a while.