Free Access

Fig. 1

image

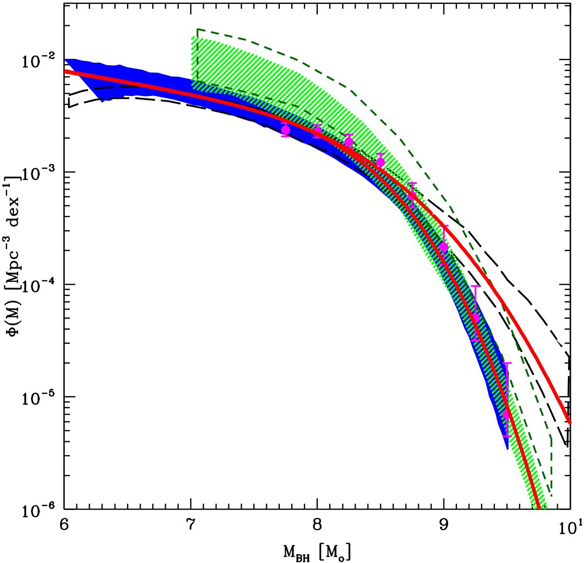
Local BHMF as estimated by Shankar et al. (2009, blue shaded area), Vika et al. (2009, magenta points), Li et al. (2011, green lined area), Shankar (2013, black dashed region), and Ueda et al. (2014, dark green short-dashed region). Red solid thick lines correspond to the Schecter function convolved with Gaussian scatter of 0.3 dex (lower line) and 0.5 dex (upper line).

Current usage metrics show cumulative count of Article Views (full-text article views including HTML views, PDF and ePub downloads, according to the available data) and Abstracts Views on Vision4Press platform.

Data correspond to usage on the plateform after 2015. The current usage metrics is available 48-96 hours after online publication and is updated daily on week days.

Initial download of the metrics may take a while.