Free Access

Fig. 13

image

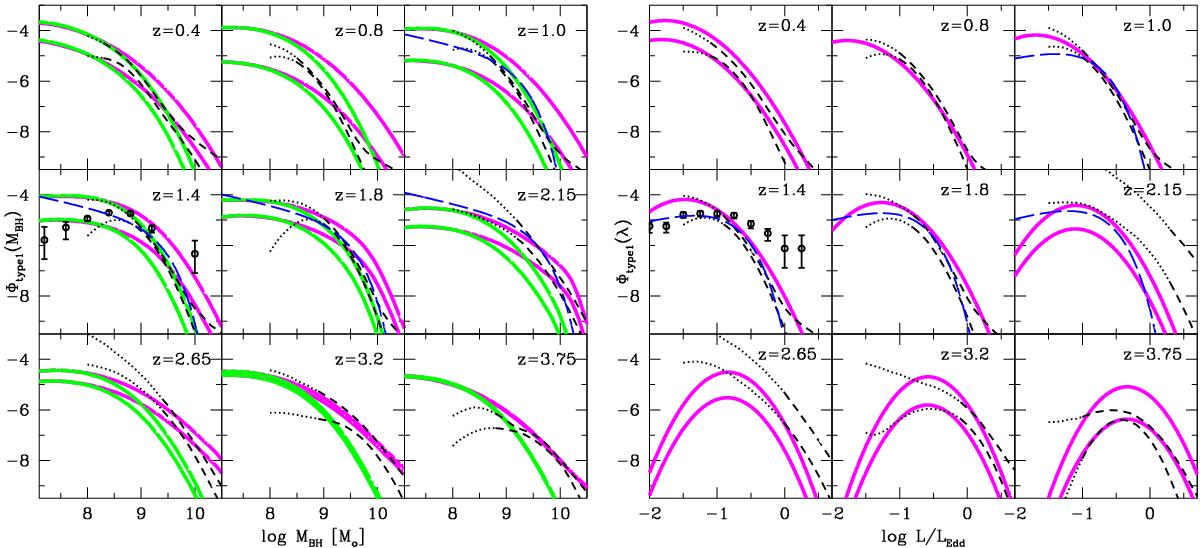
Left panel: MFs for type-1 AGN computed from the model and compared with observational estimates. Solid thick lines are for the model with ϵ = 0.07 (magenta lines) and ϵ = 0.1 (green lines), assuming the values of λmin reported in Table 2. Observational constraints are from Schulze et al. (2015, at 1 ≤ z ≤ 2.15; blue long dashed lines), Nobuta et al. (2012, at z = 1.4; black open points) and Kelly & Shen (2013, black dashed/dotted lines; the two lines define the region of 68% probability, and the dotted lines denote that the completeness for the SDSS sample is below 10%). Right panel: ERDF for type-1 AGN, as in the left panel. Here we plot only the model with ϵ = 0.07.

This figure is made of several images, please see below:

Current usage metrics show cumulative count of Article Views (full-text article views including HTML views, PDF and ePub downloads, according to the available data) and Abstracts Views on Vision4Press platform.

Data correspond to usage on the plateform after 2015. The current usage metrics is available 48-96 hours after online publication and is updated daily on week days.

Initial download of the metrics may take a while.