Free Access

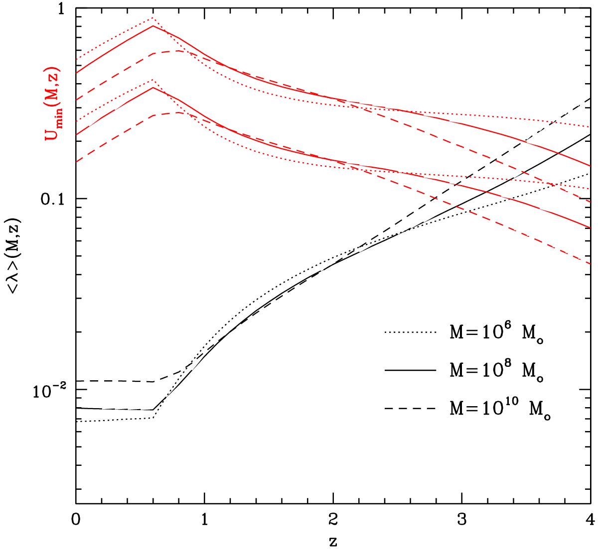
Fig. 4

image

Redshift evolution of the average Eddington ratio (black lines), and of the duty cycle required in order to have a growth time equal to the age of the Universe (red curves). The duty cycle is computed for ϵ = 0.1 (upper lines) and 0.05 (lower lines). We have considered three SMBH masses: 106 (dotted line), 108 (solid line), and 1010M (dashed line).

Current usage metrics show cumulative count of Article Views (full-text article views including HTML views, PDF and ePub downloads, according to the available data) and Abstracts Views on Vision4Press platform.

Data correspond to usage on the plateform after 2015. The current usage metrics is available 48-96 hours after online publication and is updated daily on week days.

Initial download of the metrics may take a while.