Free Access

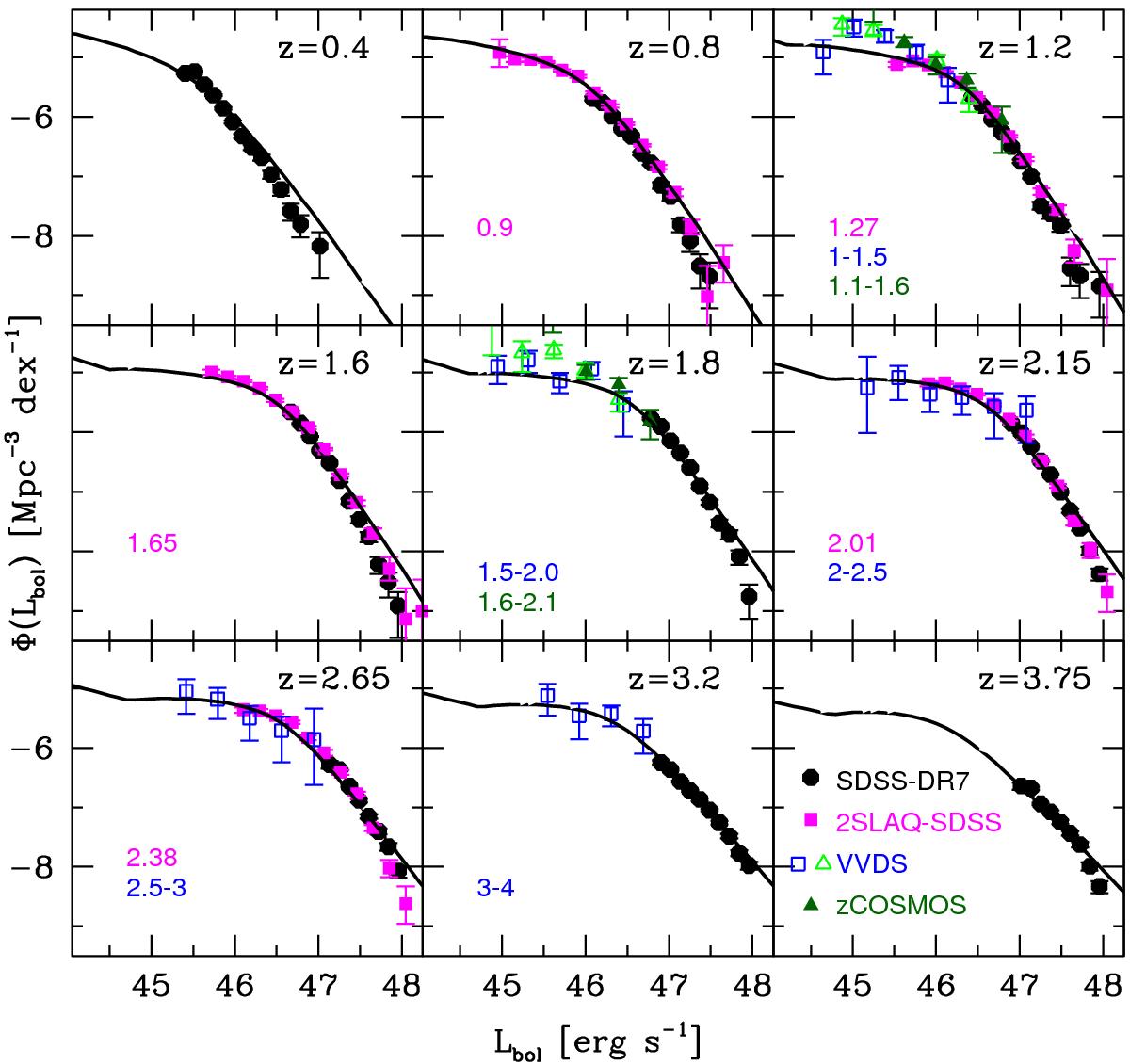
Fig. 6

image

Bolometric luminosity function for type-1 AGN (black lines) obtained from the QLF of Hopkins et al. (2007) rescaled by the fraction of unobscured objects of Ueda et al. (2014). The points represent measurements from different optical surveys: SDSS DR7 (black, Shen & Kelly 2012); 2SLAQ-SDSS (magenta, Croom et al. 2009); VVDS (blue, Bongiorno et al. 2007 and green, Schulze et al. 2015); zCOSMOS (dark green, Schulze et al. 2015). The redshift for the model and for the SDSS DR7 data is marked in the upper right corner of each plot, and the redshifts for other data are marked in the lower left corner in the corresponding colors when they are different.

Current usage metrics show cumulative count of Article Views (full-text article views including HTML views, PDF and ePub downloads, according to the available data) and Abstracts Views on Vision4Press platform.

Data correspond to usage on the plateform after 2015. The current usage metrics is available 48-96 hours after online publication and is updated daily on week days.

Initial download of the metrics may take a while.