Free Access

Fig. 8

image

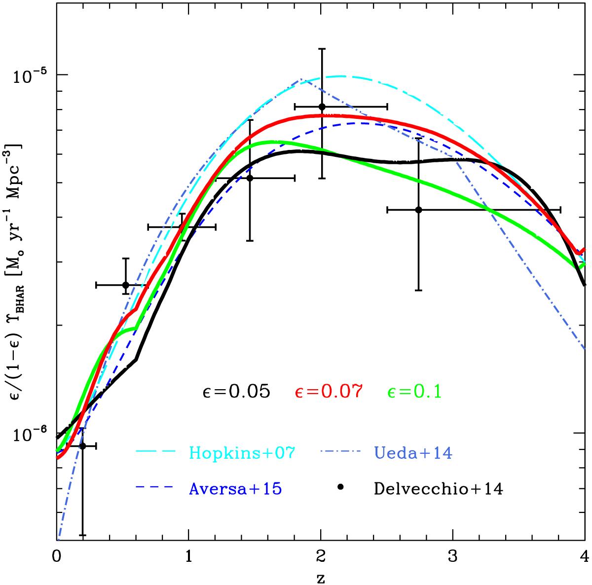
Black hole accretion rate density (multiplied by ϵ/ (1−ϵ)) from our reference models with ϵ = 0.05, 0.07, and 0.1 (solid thick lines); these are compared with the BHAD obtained from different bolometric LFs (as indicated in the plot).

Current usage metrics show cumulative count of Article Views (full-text article views including HTML views, PDF and ePub downloads, according to the available data) and Abstracts Views on Vision4Press platform.

Data correspond to usage on the plateform after 2015. The current usage metrics is available 48-96 hours after online publication and is updated daily on week days.

Initial download of the metrics may take a while.