Free Access

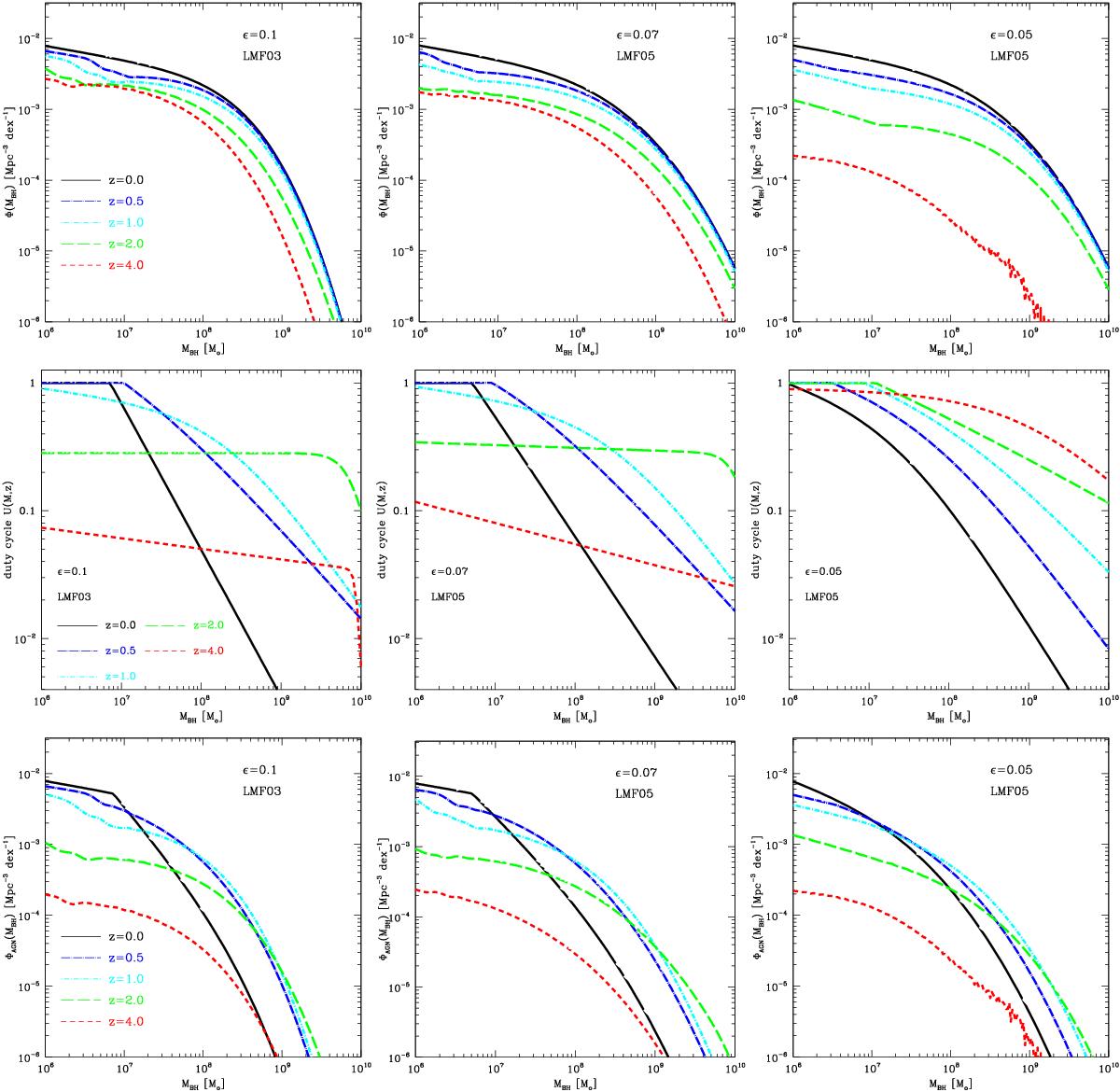
Fig. 9

image

Top panels: SMBH mass function between redshift 0 and 4 as predicted by the models with different choices of the radiative efficiency and the local mass function. At z < 1, the BHMF evolves only at M < 108M, while number density of very massive SMBHs undergoes a strong evolution a higher redshifts. At z > 1, details of the SMBH cosmic history strongly depend on the radiative efficiency. Central panels: duty cycle U(M,z) as predicted by the models. At z < 1, the duty cycle is ~ 1 for SMBHs of M < 107M and then decreases with the mass. The behavior of the duty cycle is very similar for the models with ϵ = 0.1 and 0.07, increasing from redshift 0 to 1, and decreasing at z > 2. For ϵ = 0.05, it always increases and most SMBHs are active at z ~ 4.Bottom panels: AGN MF as predicted by the models. This is almost insensitive to the choice of the local mass function and to the value of the radiative efficiency. The number density of active SMBHs with M ≥ 108M peaks at redshifts 1–2 and then rapidly decreases.

This figure is made of several images, please see below:

Current usage metrics show cumulative count of Article Views (full-text article views including HTML views, PDF and ePub downloads, according to the available data) and Abstracts Views on Vision4Press platform.

Data correspond to usage on the plateform after 2015. The current usage metrics is available 48-96 hours after online publication and is updated daily on week days.

Initial download of the metrics may take a while.