Free Access

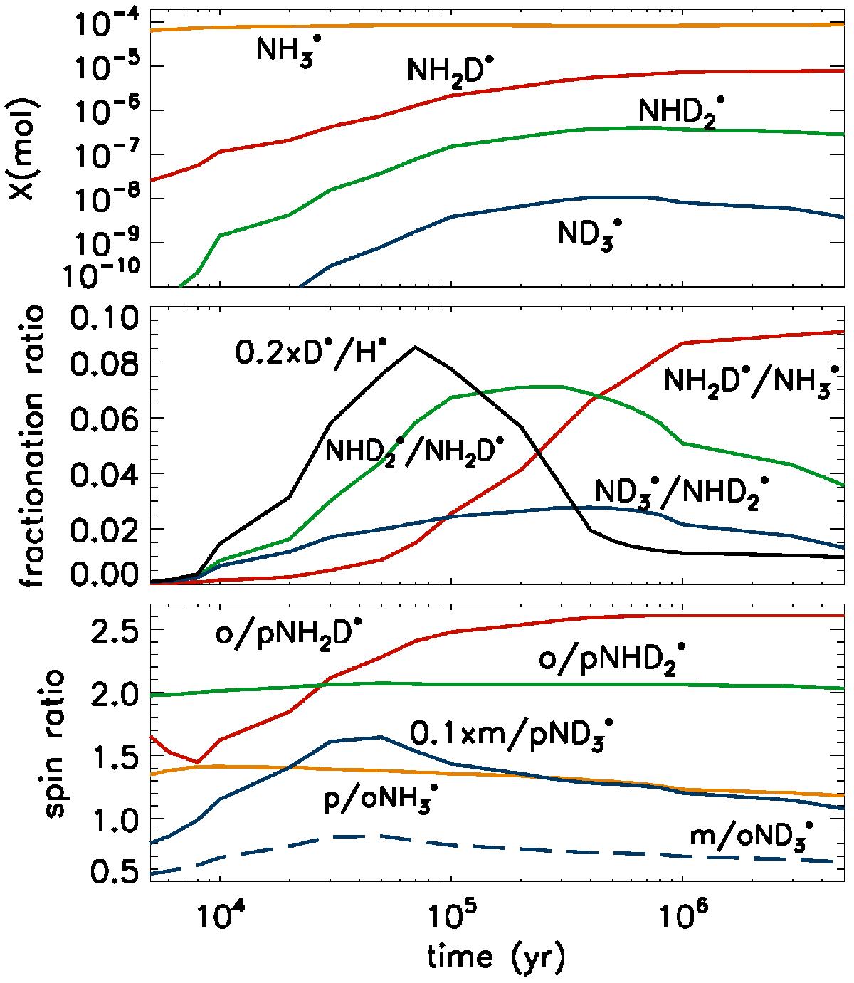
Fig. 12

image

Evolution of the abundances of NH3 and its deuterated isotopologues on grain surfaces for the core model. The m/pND3 ratios are divided by 10. The D/H ratio on grains shown in the middle panel is multiplied by 0.2.

Current usage metrics show cumulative count of Article Views (full-text article views including HTML views, PDF and ePub downloads, according to the available data) and Abstracts Views on Vision4Press platform.

Data correspond to usage on the plateform after 2015. The current usage metrics is available 48-96 hours after online publication and is updated daily on week days.

Initial download of the metrics may take a while.