Free Access

Fig. 10

image

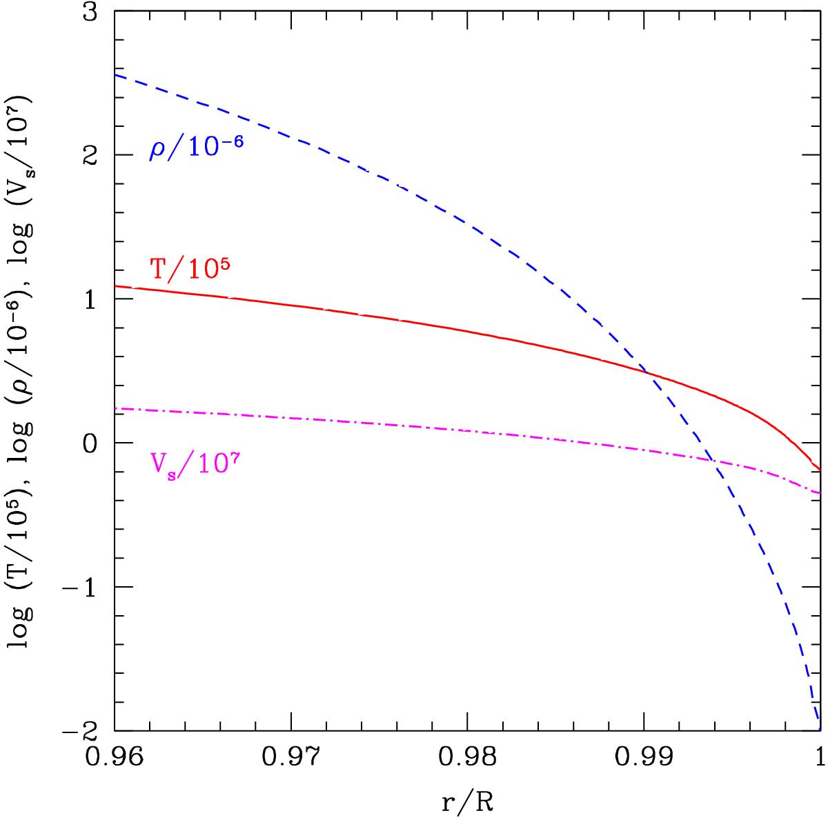
Radial profiles from the 1D model of the temperature (in units of 105 K), density (in units of 10-6 g cm-3) and sound speed (in units of 107 cm s-1) in the outer radiative envelope of a 20 M star with zero metallicity. R is the total stellar radius.

Current usage metrics show cumulative count of Article Views (full-text article views including HTML views, PDF and ePub downloads, according to the available data) and Abstracts Views on Vision4Press platform.

Data correspond to usage on the plateform after 2015. The current usage metrics is available 48-96 hours after online publication and is updated daily on week days.

Initial download of the metrics may take a while.