Free Access

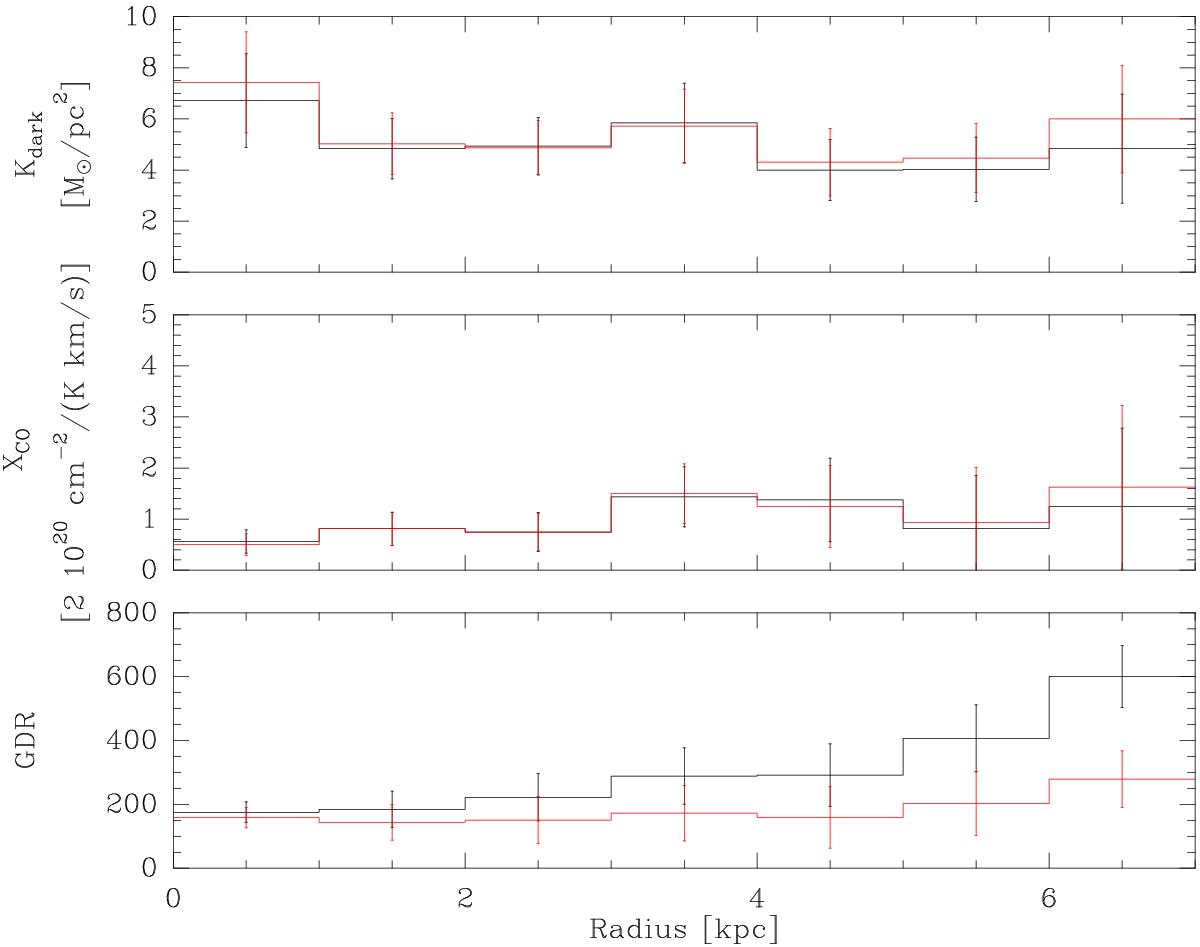
Fig. 4

image

Average values for Kdark, XCO, and GDR derived for 1 kpc radial bins using the Leroy-Sandstrom method. The black histogram shows results derived with the variable beta (Tabatabaei et al. 2014) prescription and the red used the β = 2 to determine dust temperatures.

Current usage metrics show cumulative count of Article Views (full-text article views including HTML views, PDF and ePub downloads, according to the available data) and Abstracts Views on Vision4Press platform.

Data correspond to usage on the plateform after 2015. The current usage metrics is available 48-96 hours after online publication and is updated daily on week days.

Initial download of the metrics may take a while.