Free Access

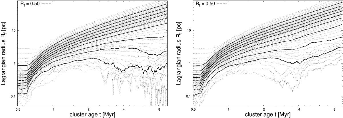
Fig. 11

image

Effect of stellar evolution. Covering the first 9.5 Myr (respectively 8.9 Myr after the beginning of gas expulsion) for two 5 × 103M clusters. While the reversion process after gas expulsion is ongoing for the cluster without stellar evolution (left panel), the first SN disturb the process of re-virialization in the more realistic scenario including stellar evolution (right panel). The effect is more distinct in these lower mass clusters.

This figure is made of several images, please see below:

Current usage metrics show cumulative count of Article Views (full-text article views including HTML views, PDF and ePub downloads, according to the available data) and Abstracts Views on Vision4Press platform.

Data correspond to usage on the plateform after 2015. The current usage metrics is available 48-96 hours after online publication and is updated daily on week days.

Initial download of the metrics may take a while.