Free Access

Fig. 14

image

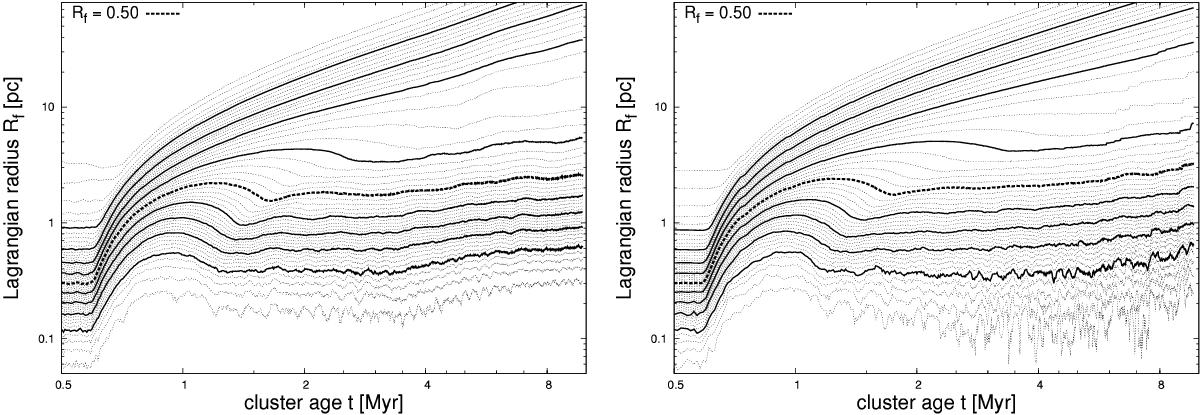
Impact of dynamical friction, gauged with exemplary plots, tracking the first 10 Myr (respectively 9.4 Myr after the beginning of gas expulsion) for two 3 × 104M clusters. The bound fraction and overall extension are of the same order of magnitude at that time. The expansion of the cluster with minimized dynamical friction (left panel) is driven primarily by stellar evolution, whereas the interactions through dynamical friction provide a constant source of heating for the other cluster (right panel).

This figure is made of several images, please see below:

Current usage metrics show cumulative count of Article Views (full-text article views including HTML views, PDF and ePub downloads, according to the available data) and Abstracts Views on Vision4Press platform.

Data correspond to usage on the plateform after 2015. The current usage metrics is available 48-96 hours after online publication and is updated daily on week days.

Initial download of the metrics may take a while.