Free Access

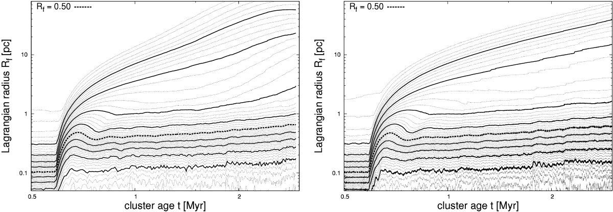
Fig. 17

image

Comparing two 3 × 104M clusters, both with an initial HMR of 0.1 pc. The left panel shows a simplified model of Arches in a strong Galactic tidal field, the right model is considered to be in isolation.

This figure is made of several images, please see below:

Current usage metrics show cumulative count of Article Views (full-text article views including HTML views, PDF and ePub downloads, according to the available data) and Abstracts Views on Vision4Press platform.

Data correspond to usage on the plateform after 2015. The current usage metrics is available 48-96 hours after online publication and is updated daily on week days.

Initial download of the metrics may take a while.