Free Access

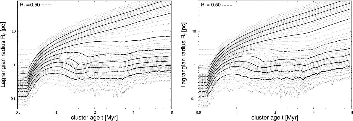
Fig. 9

image

Effect of primordial mass segregation. Tracking the first 8 Myr (respectively 7.4 Myr after the beginning of gas expulsion) for two 2.5 × 104M clusters, without (left) and with (right) primordial mass segregation. Their differences begin to show after stellar evolution produces the first SN, the subsequent mass loss being more destructive for the initially segregated cluster.

This figure is made of several images, please see below:

Current usage metrics show cumulative count of Article Views (full-text article views including HTML views, PDF and ePub downloads, according to the available data) and Abstracts Views on Vision4Press platform.

Data correspond to usage on the plateform after 2015. The current usage metrics is available 48-96 hours after online publication and is updated daily on week days.

Initial download of the metrics may take a while.