Free Access

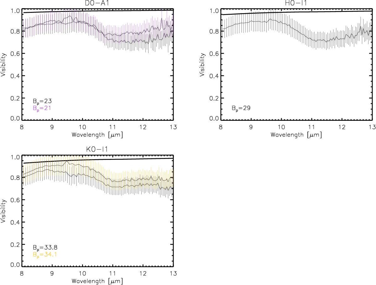
Fig. A.2

image

Observed visibility (dashed lines) dispersed over wavelengths of X TrA observations, compared to models (full line) without mass loss. The different projected baselines are indicated in the color legend.

Current usage metrics show cumulative count of Article Views (full-text article views including HTML views, PDF and ePub downloads, according to the available data) and Abstracts Views on Vision4Press platform.

Data correspond to usage on the plateform after 2015. The current usage metrics is available 48-96 hours after online publication and is updated daily on week days.

Initial download of the metrics may take a while.