Free Access

Fig. 2

image

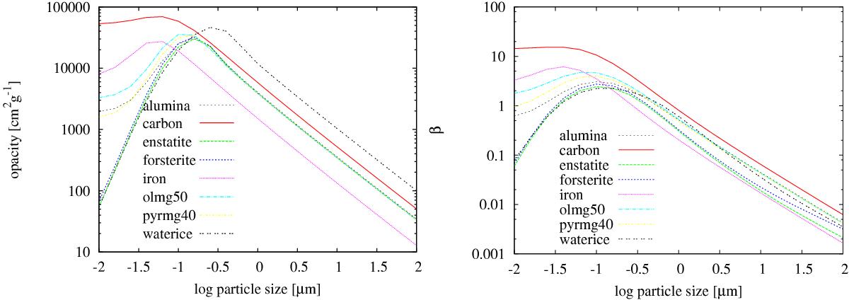
Left: total opacity of various dust species at 0.6 microns as a function of particle size. Right: radiative to gravity acceleration ratio (β parameter) of various dust species for KIC8462 as a function of the particle size. Olmg50 refers to olivine (50% iron), pyrmg40 refers to pyroxene (60% iron), and carbon is at 1000 °C.

This figure is made of several images, please see below:

Current usage metrics show cumulative count of Article Views (full-text article views including HTML views, PDF and ePub downloads, according to the available data) and Abstracts Views on Vision4Press platform.

Data correspond to usage on the plateform after 2015. The current usage metrics is available 48-96 hours after online publication and is updated daily on week days.

Initial download of the metrics may take a while.