Free Access

Fig. 3

image

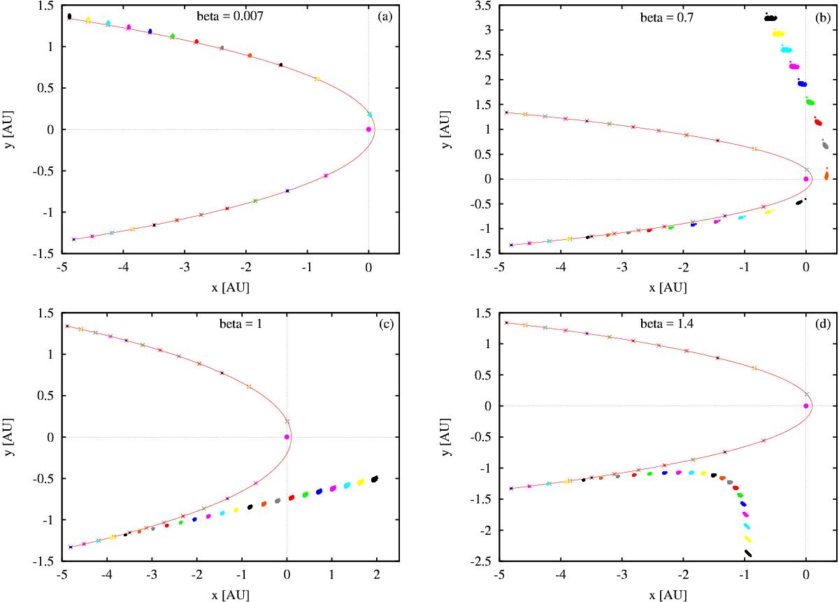
Illustration of the behavior of a dust cloud projected into the orbital plane of the MO for different β values. Plot a): β = 0.007 – particles tend to stay on the elliptical orbit and follow the parent body, the trajectory of which is shown with the red solid curve. Plot b): β = 0.7 – the cloud of particles soon separates from the parent body and the particles move in their own elliptical trajectories. Plot c): β = 1 – the P-R drag balances the gravity and therefore the particles move uniformly along a straight line. Plot d): β = 1.4 – particles easily decouple from the parent body and settle onto hyperbolic orbits. Positions of the MO (crosses) are shown at the same moments as the positions of the individual DPs (dots). Different colors are used for different times, separated by 25-day intervals. The position of KIC8462, in the origin of coordinate xy plane, is drawn with the violet full circle. Calculated for model A of a cloud with a body mass of m = 10-10M.

This figure is made of several images, please see below:

Current usage metrics show cumulative count of Article Views (full-text article views including HTML views, PDF and ePub downloads, according to the available data) and Abstracts Views on Vision4Press platform.

Data correspond to usage on the plateform after 2015. The current usage metrics is available 48-96 hours after online publication and is updated daily on week days.

Initial download of the metrics may take a while.