Free Access

Fig. 6

image

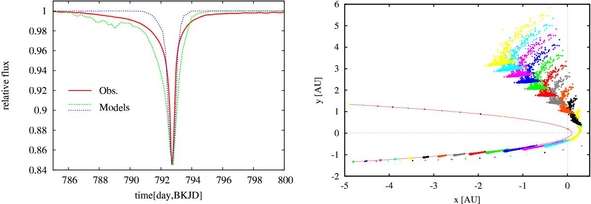
Comparison of observations with model (B). Left column: the observations (solid line), two models (green-dashed and blue-dashed; see the text for a description). Right column: the cloud of particles and its parent body corresponding to the green-dashed model orbiting the star at 25-day intervals distinguished by different colors.

This figure is made of several images, please see below:

Current usage metrics show cumulative count of Article Views (full-text article views including HTML views, PDF and ePub downloads, according to the available data) and Abstracts Views on Vision4Press platform.

Data correspond to usage on the plateform after 2015. The current usage metrics is available 48-96 hours after online publication and is updated daily on week days.

Initial download of the metrics may take a while.