Free Access

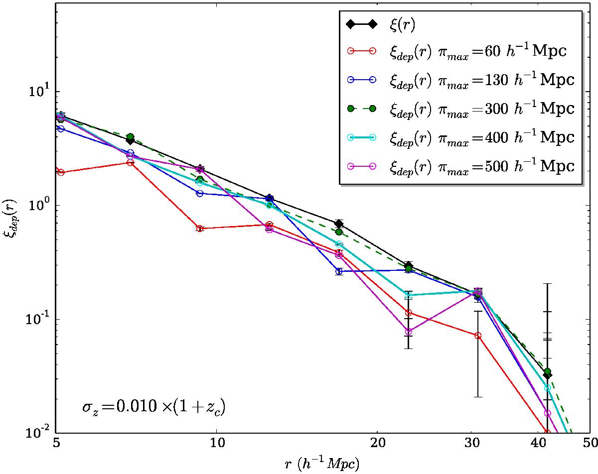
Fig. 11

image

Recovered correlation function with different values of πmax (as colour coded in the figure) for the sample with σz = 0.010 × (1 + zc) in the redshift range 0.4 < z < 0.7. The black line joining the diamonds in both the plots is the real-space correlation function calculated for the cosmological redshift sample (same as the red line in Fig. 8). Poisson error bars are plotted just for convenience.

Current usage metrics show cumulative count of Article Views (full-text article views including HTML views, PDF and ePub downloads, according to the available data) and Abstracts Views on Vision4Press platform.

Data correspond to usage on the plateform after 2015. The current usage metrics is available 48-96 hours after online publication and is updated daily on week days.

Initial download of the metrics may take a while.