Free Access

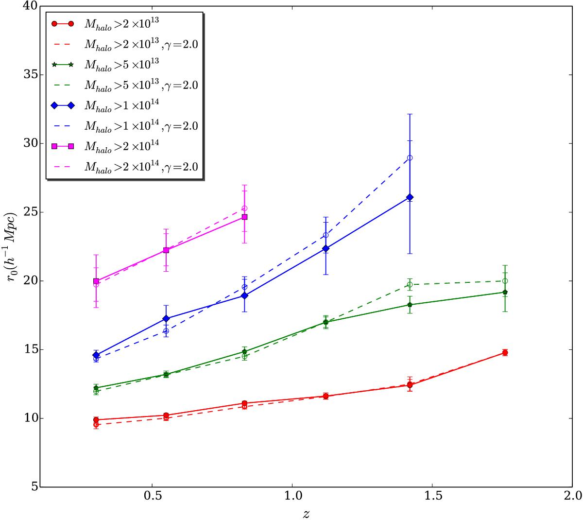
Fig. 4

image

Evolution of r0 with redshift for different limiting masses (with units h-1M). The filled symbols connected by solid lines correspond to the free slope fits, while the open symbols connected by dashed lines correspond to a fixed slope γ = 2.0. The different limiting masses are colour coded as shown in the figure. The values of r0 and γ for all the samples can be found in Table 1.

Current usage metrics show cumulative count of Article Views (full-text article views including HTML views, PDF and ePub downloads, according to the available data) and Abstracts Views on Vision4Press platform.

Data correspond to usage on the plateform after 2015. The current usage metrics is available 48-96 hours after online publication and is updated daily on week days.

Initial download of the metrics may take a while.