Free Access

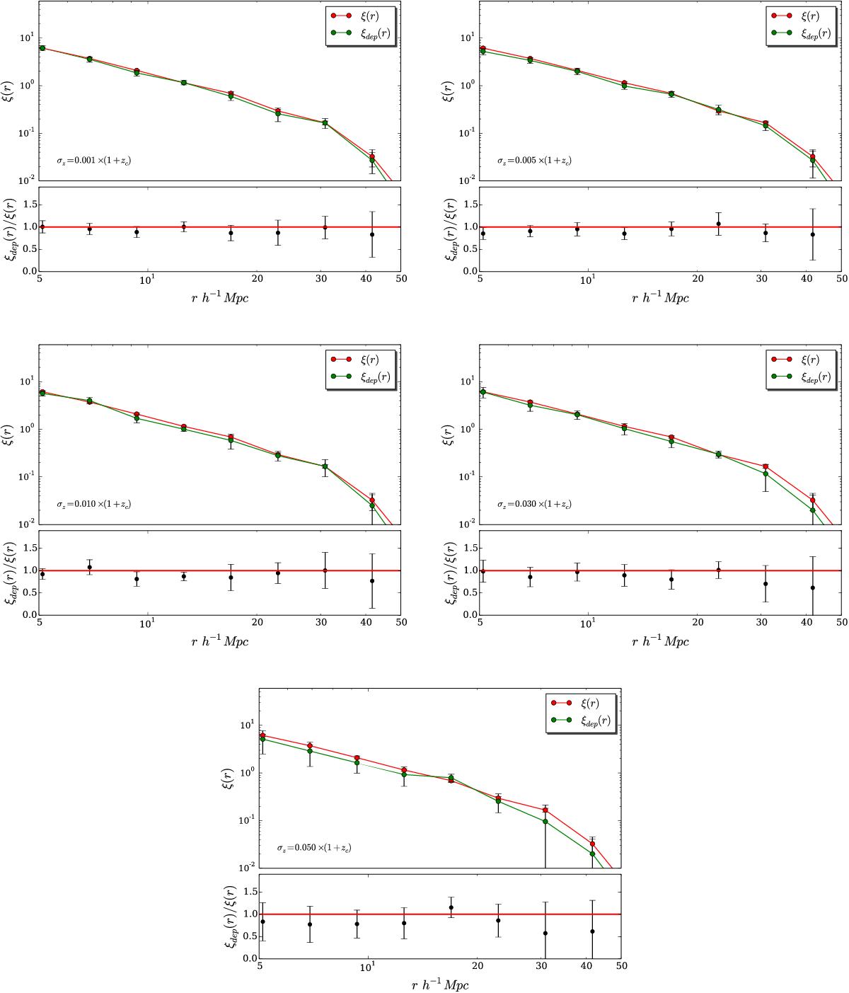
Fig. 8

image

Recovered correlation function (green line) compared with the real-space correlation function (red line) for five mock photometric samples in the redshift range 0.4 < z < 0.7, with increasing redshift uncertainty. Values of the best-fit parameters obtained are given in Table 2 and the quality of the recovery for each sample is given in Table 3.

Current usage metrics show cumulative count of Article Views (full-text article views including HTML views, PDF and ePub downloads, according to the available data) and Abstracts Views on Vision4Press platform.

Data correspond to usage on the plateform after 2015. The current usage metrics is available 48-96 hours after online publication and is updated daily on week days.

Initial download of the metrics may take a while.