Free Access

Fig. B.1

image

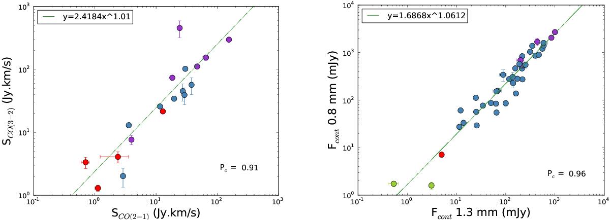
a) Emission of the CO J = 3 → 2 plotted against the CO J = 2 → 1 emission. The Pearson coefficient of correlation of the data, Pc, is indicated in the lower right-hand corner. b) Emission of the continuum at 0.8 mm plotted against the 1.3 mm continuum emission. The Pearson coefficient of correlation of the data, Pc, is indicated in the lower right-hand corner. Fluxes are rescaled at 100 pc. Same symbols as for Fig. B.2.

This figure is made of several images, please see below:

Current usage metrics show cumulative count of Article Views (full-text article views including HTML views, PDF and ePub downloads, according to the available data) and Abstracts Views on Vision4Press platform.

Data correspond to usage on the plateform after 2015. The current usage metrics is available 48-96 hours after online publication and is updated daily on week days.

Initial download of the metrics may take a while.