Free Access

Fig. 13

image

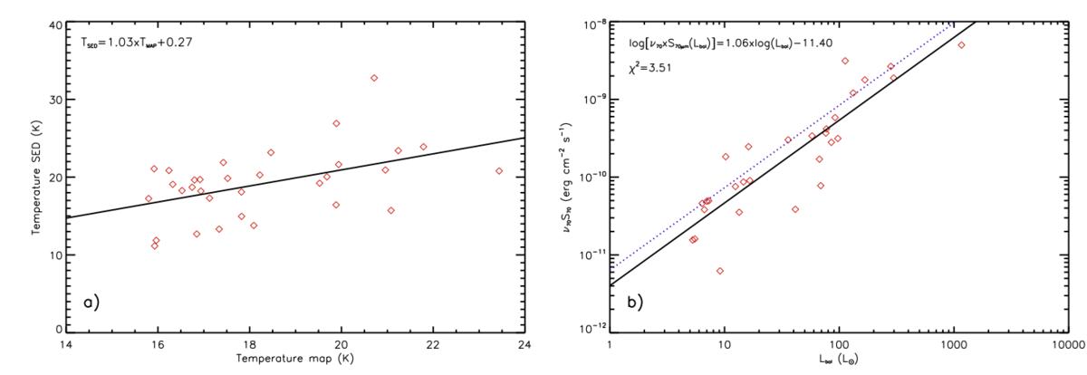
a) Temperature given by the SED fitting versus temperature obtained at the source location in the temperature map for the final sample of 35 sources (red diamonds). b) ν70 μm × S70 μm versus bolometric luminosity for the final sample of 35 sources following Ragan et al. (2012) where the black continuous line represents the fit and the blue dotted one represented the relation from Dunham et al. (2008).

Current usage metrics show cumulative count of Article Views (full-text article views including HTML views, PDF and ePub downloads, according to the available data) and Abstracts Views on Vision4Press platform.

Data correspond to usage on the plateform after 2015. The current usage metrics is available 48-96 hours after online publication and is updated daily on week days.

Initial download of the metrics may take a while.