Free Access

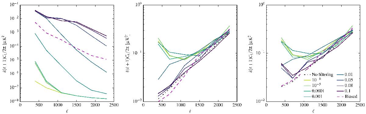
Fig. 14

image

Uncertainty on the unbiased estimation of the B-mode power spectra based on 100 simulations containing E only (left panel), noise only (central panel) and E, B and noise (right panel), see Sect. 6.3.2 for more details. The last case estimates the total uncertainty on the BB power spectrum estimation. The spectra are estimated with help of cross-spectra of simulated pairs of maps. For the explanation of the legend, see Fig. 12. In the case of simulations containing noise we also display the “No filters” case, in which the simulated white noise TOD are not filtered: the simple map-making Eq. (5) is adopted.

This figure is made of several images, please see below:

Current usage metrics show cumulative count of Article Views (full-text article views including HTML views, PDF and ePub downloads, according to the available data) and Abstracts Views on Vision4Press platform.

Data correspond to usage on the plateform after 2015. The current usage metrics is available 48-96 hours after online publication and is updated daily on week days.

Initial download of the metrics may take a while.