Free Access

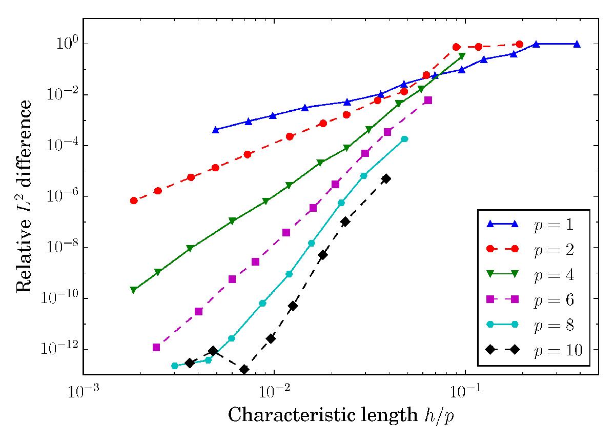
Fig. 4

image

Relative L2 error between the FEM solution and the analytical solution for the piecewise homogeneous layered medium (Sect. 6.6 and Fig. 3) for non-axial incidence of a plane wave at frequency ω/ 2π = 2 mHz. The error is plotted as a function of the maximum mesh size h for different polynomial orders p. The observed rate of convergence is consistent with the theoretical expectation, h(p + 1).

Current usage metrics show cumulative count of Article Views (full-text article views including HTML views, PDF and ePub downloads, according to the available data) and Abstracts Views on Vision4Press platform.

Data correspond to usage on the plateform after 2015. The current usage metrics is available 48-96 hours after online publication and is updated daily on week days.

Initial download of the metrics may take a while.