Free Access

Fig. 7

image

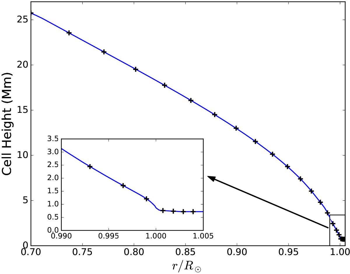
Radial wavelength for ω/ 2π = 9 mHz and = 15 (lines) computed from Eq. (78), with the position of the cell vertices in the radial direction overplotted (crosses). The local wavelength is captured by a tenth-order polynomial within each cell. The wavelength becomes constant in the extended atmosphere described previously.

Current usage metrics show cumulative count of Article Views (full-text article views including HTML views, PDF and ePub downloads, according to the available data) and Abstracts Views on Vision4Press platform.

Data correspond to usage on the plateform after 2015. The current usage metrics is available 48-96 hours after online publication and is updated daily on week days.

Initial download of the metrics may take a while.