Free Access

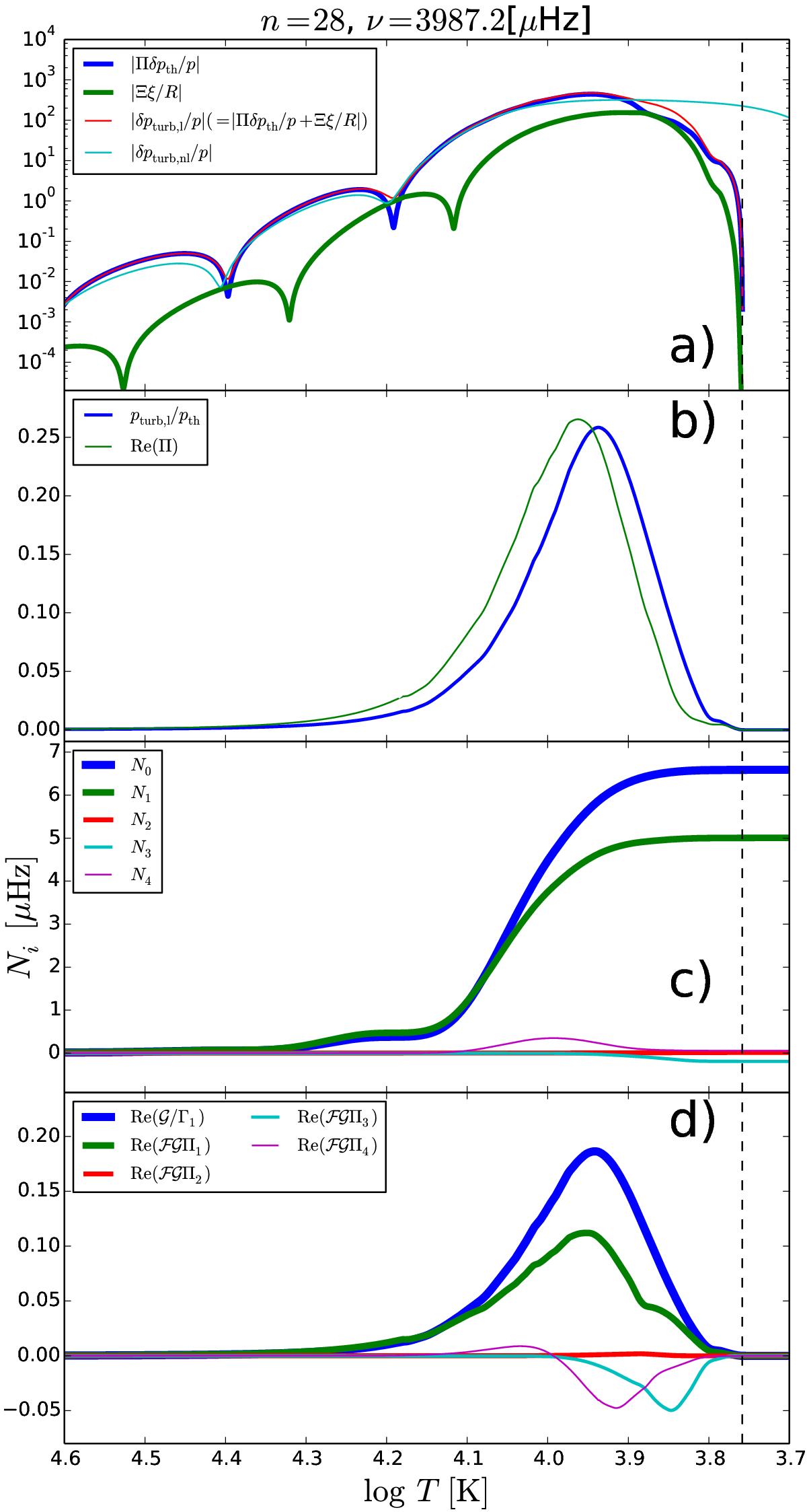
Fig. 7

image

a) absolute values of eigenfunctions for the n = 28 mode obtained with the MAD code with β = 0.2–1.2i; first and second terms in the right hand side of Eq. (16) (blue and green respectively), perturbation of the local turbulent pressure given by Eq. (16) (red), and of the nonlocal turbulent pressure (cyan) b) real part of the coefficient for the perturbation of the thermal pressure in Eq. (16), Re(Π), the ratio of the local turbulent pressure to the thermal one, pturb,l/pth. c) cumulative contribution to the frequency shift of each decomposed component of Π (Eq. (17)) defined by Eqs. (25) and (26). d) real parts of the decomposed components of Π (Eq. (17)). The vertical dashed line indicates the upper boundary of the convection zone determined by the Schwarzschild criterion.

Current usage metrics show cumulative count of Article Views (full-text article views including HTML views, PDF and ePub downloads, according to the available data) and Abstracts Views on Vision4Press platform.

Data correspond to usage on the plateform after 2015. The current usage metrics is available 48-96 hours after online publication and is updated daily on week days.

Initial download of the metrics may take a while.