Press Release
Free Access

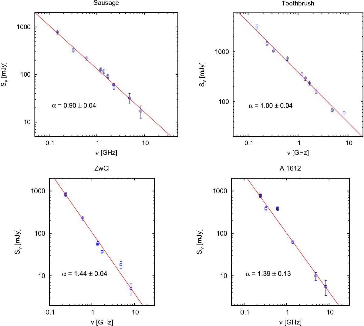
Fig. 9

image

Integrated total intensity spectra of the relics considered in this paper. Top left: spectrum of the Sausage radio relic. The flux densities at frequencies lower than 4.85 GHz are taken from Table 3 of Stroe et al. (2016). Top right: spectrum of the Toothbrush radio relic. The flux densities at frequencies lower than 4.85 GHz are taken from Table 3 of Stroe et al. (2016). Bottom left: spectrum of the radio relic in ZwCl 0008+52. The flux densities at frequencies lower than 4.85 GHz are taken from van Weeren et al. (2011c). Bottom right: spectrum of the radio relic in Abell 1612. The flux densities at frequencies lower than 4.85 GHz are taken from van Weeren et al. (2011b).

This figure is made of several images, please see below:

Current usage metrics show cumulative count of Article Views (full-text article views including HTML views, PDF and ePub downloads, according to the available data) and Abstracts Views on Vision4Press platform.

Data correspond to usage on the plateform after 2015. The current usage metrics is available 48-96 hours after online publication and is updated daily on week days.

Initial download of the metrics may take a while.