Free Access

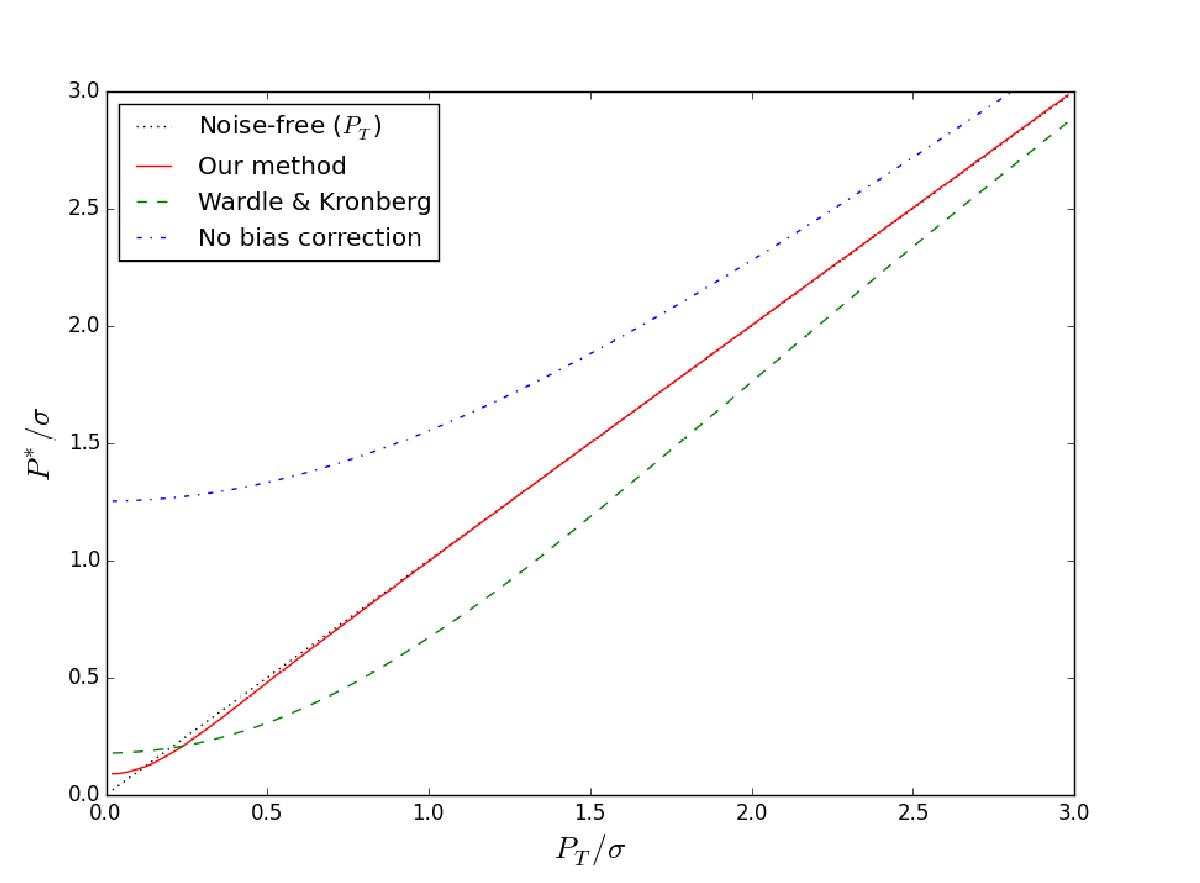
Fig. 2

image

Averaged signal-to-noise ratio (P/σ) as a function of the true ratio PT/σ after applying: the bias suppression method; the Wardle & Kronberg method (using C = 1.2); our new method; and without any bias correction. To show the improvement of the bias suppression with our new method, we created a 100 × 100 pixel Û map and map that contained only Gaussian noise. We added a constant positive value A to the entire Û map and a negative value A to the map. The values vary between 0 < | A | < 3σ. For each A we calculated the corresponding P as the average value over the entire map for all methods given in the plot.

Current usage metrics show cumulative count of Article Views (full-text article views including HTML views, PDF and ePub downloads, according to the available data) and Abstracts Views on Vision4Press platform.

Data correspond to usage on the plateform after 2015. The current usage metrics is available 48-96 hours after online publication and is updated daily on week days.

Initial download of the metrics may take a while.