Free Access

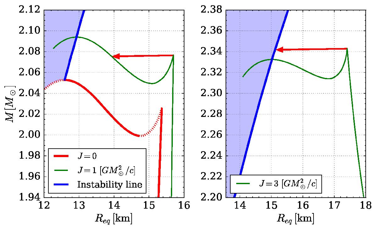
Fig. 2

image

Catastrophic mini-collapse for two configurations with different values of angular momentum J at the edge of the instability region, on the gravitational mass–equatorial radius MReq plane. For an isolated star, the left panel shows the trajectory along a line of constant baryon mass Mb (note the arrow is inclined, since the ordinate is M, not Mb) to another stable NS configuration with J equal to the initial one. Right panel: if the angular momentum is larger than some critical value that depends on the EOS, the star collapses directly to a BH, since the mass of the twin branch counterpart is too low.

Current usage metrics show cumulative count of Article Views (full-text article views including HTML views, PDF and ePub downloads, according to the available data) and Abstracts Views on Vision4Press platform.

Data correspond to usage on the plateform after 2015. The current usage metrics is available 48-96 hours after online publication and is updated daily on week days.

Initial download of the metrics may take a while.