Free Access

Fig. 3

image

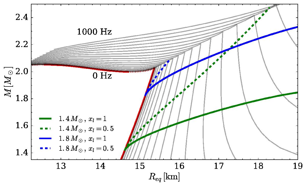
Evolutionary tracks on the gravitational mass–equatorial radius MReq plane, assuming a thin-disk accretion model, superimposed on the mass-radius curves for constant rotation rates in the range between 0 and 1000 Hz. Two angular momentum transport efficiencies are considered. Solid lines correspond to perfect angular momentum transfer from the accretion disk to the star, dashed lines correspond to half of the accretion-disk angular momentum transferred. The initial masses for these tracks are 1.4 M and 1.8 M. For more details see the text.

Current usage metrics show cumulative count of Article Views (full-text article views including HTML views, PDF and ePub downloads, according to the available data) and Abstracts Views on Vision4Press platform.

Data correspond to usage on the plateform after 2015. The current usage metrics is available 48-96 hours after online publication and is updated daily on week days.

Initial download of the metrics may take a while.