Free Access

Fig. 6

image

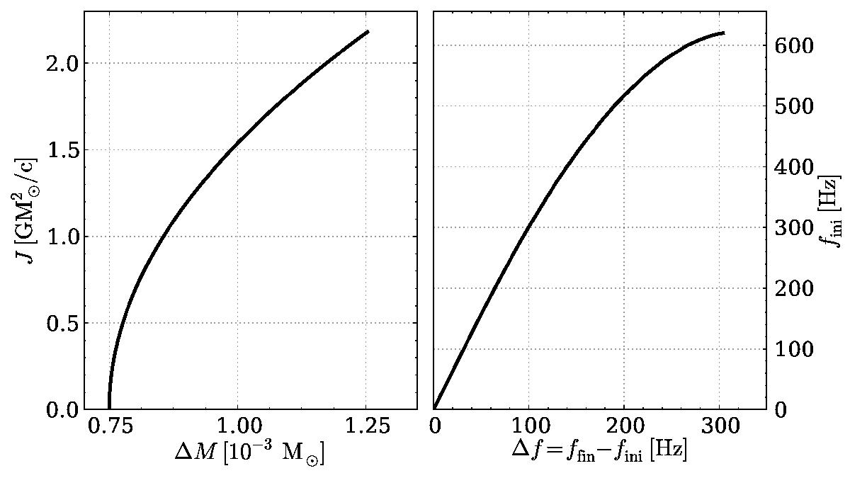
Left panel: energy release (difference in the gravitational mass) against the angular momentum of the configuration entering the strong phase transition instability. Right panel: spin-up (difference between the final and initial spin frequency) against the spin frequency of the initial configuration. For details see the text.

Current usage metrics show cumulative count of Article Views (full-text article views including HTML views, PDF and ePub downloads, according to the available data) and Abstracts Views on Vision4Press platform.

Data correspond to usage on the plateform after 2015. The current usage metrics is available 48-96 hours after online publication and is updated daily on week days.

Initial download of the metrics may take a while.