Free Access

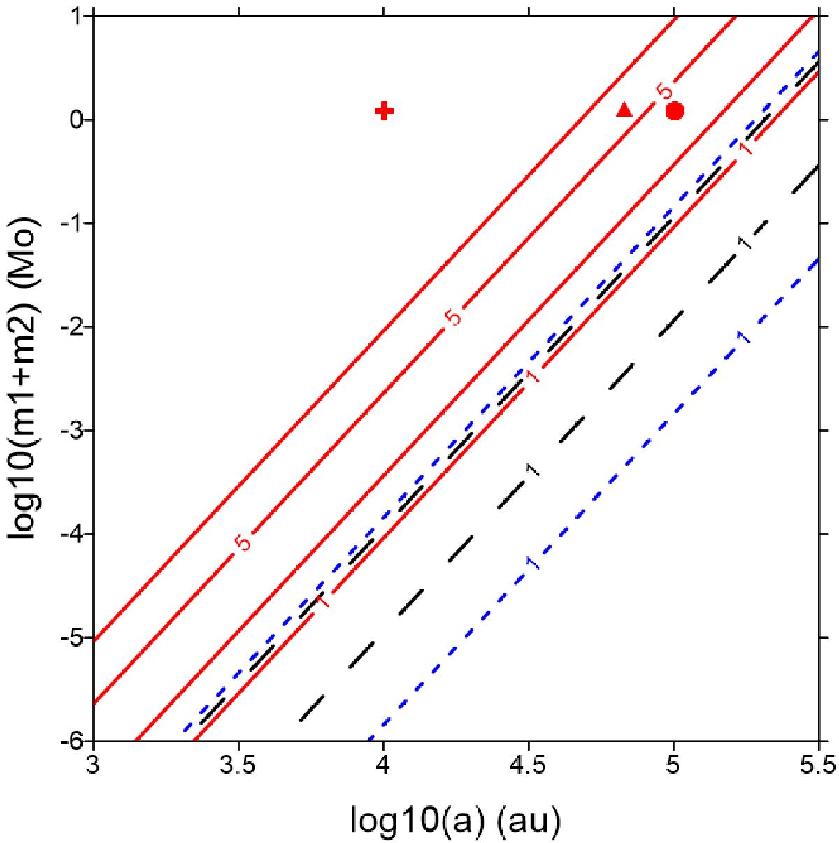
Fig. 2

image

Level curves of the ratio between the frequencies: fo/fs (dashed black line), fn/fs (dotted blue line) and fo/fn (red line). For the comparison with the secular frequency we plot the ratio 1 and 10. For the comparison between the fast frequencies (fo/fn) we plot the levels 1, 2, 5 and 10. The red symbols (cross, triangle and circle) represent the position of three binary systems (see Sect. 2.5).

Current usage metrics show cumulative count of Article Views (full-text article views including HTML views, PDF and ePub downloads, according to the available data) and Abstracts Views on Vision4Press platform.

Data correspond to usage on the plateform after 2015. The current usage metrics is available 48-96 hours after online publication and is updated daily on week days.

Initial download of the metrics may take a while.