Free Access

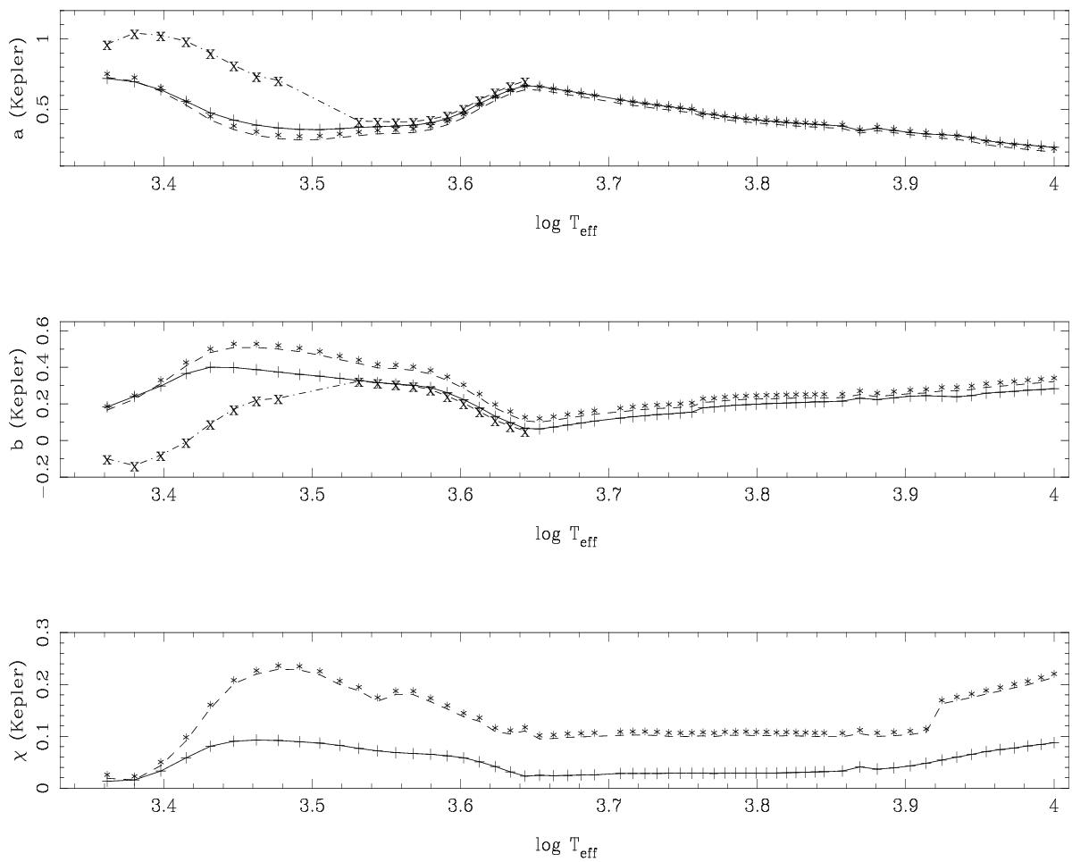
Fig. 1

image

Quadratic LDC for PHOENIX-COND models. Quasi-spherical models are represented by a continuous line and crosses and the r method by a dashed line and asterisks. The LDC for the PHOENIX-DRIFT models from Claret et al. (2012) are denoted by a dashed-dotted line and the symbol x. In the last case and for the sake of clarity, only models with Teff< 4400 K are shown. The third panel shows the root square of the merit function χ. All calculations were performed for log g = 4.5, log[A/H] = 0.0, Vξ = 2 km s-1. Kepler photometric system. LSM calculations.

Current usage metrics show cumulative count of Article Views (full-text article views including HTML views, PDF and ePub downloads, according to the available data) and Abstracts Views on Vision4Press platform.

Data correspond to usage on the plateform after 2015. The current usage metrics is available 48-96 hours after online publication and is updated daily on week days.

Initial download of the metrics may take a while.