Free Access

Fig. 5

image

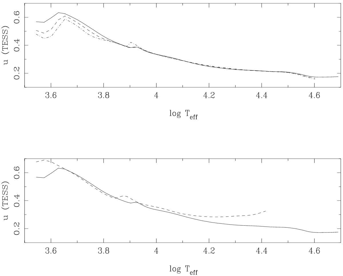
Effects of metallicity and evolutionary status on the theoretical linear LDC for ATLAS models; TESS photometric system. Upper panel: continuous line denotes models with log[A/H] = 0.0 while dashed line indicates log[A/H] =−0.5 and dashed-dotted line those with log[A/H] =−1.0; log g = 4.5 and Vξ = 2 km s-1 for all models. Lower panel: continuous line denotes models with log g = 4.5 and dashed line represents models with log g = 3.0; log  [A/H] = 0.0 and Vξ = 2 km s-1 for all models. LSM calculations for both panels.

Current usage metrics show cumulative count of Article Views (full-text article views including HTML views, PDF and ePub downloads, according to the available data) and Abstracts Views on Vision4Press platform.

Data correspond to usage on the plateform after 2015. The current usage metrics is available 48-96 hours after online publication and is updated daily on week days.

Initial download of the metrics may take a while.