Free Access

This article has an erratum: [https://doi.org/10.1051/0004-6361/201629711e]


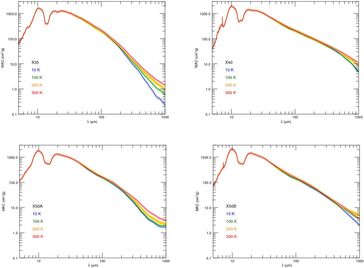
Fig. 2

image

Mass absorption coefficient of the samples X35 (upper left panel), X40 (upper right panel), X50A (lower left panel) and X50B (lower right panel). For each sample we show the spectra measured for a grain temperature of 300 K (red), 200 K (orange), 100 K (green) and at 10 K (blue). The shaded area represents the uncertainty on the experimental data (see Sect. 2.3). The sharp band at 7.2 μm is not associated with the samples and is due to the PE matrix.

This figure is made of several images, please see below:

Current usage metrics show cumulative count of Article Views (full-text article views including HTML views, PDF and ePub downloads, according to the available data) and Abstracts Views on Vision4Press platform.

Data correspond to usage on the plateform after 2015. The current usage metrics is available 48-96 hours after online publication and is updated daily on week days.

Initial download of the metrics may take a while.