Free Access

Fig. 5

image

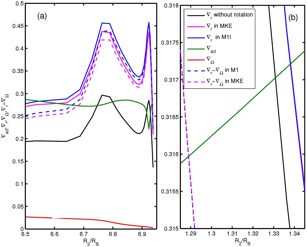
Left panel: temperature gradients r, ad, and r−∇Ω as function of the dimensionless radius R/R according to the MKE model (blue curves) and the M1 model (pink curves) below the stellar surface. The black line denotes the radiative temperature gradient r in the model without rotation. The green line denotes the temperature gradients ad. The red curve indicates the quantity Ω. Right panel: various temperature gradients located at the border of the convective core. The point where black lines cut green lines implies the border of convective core in non-rotating model according to the Schwarzschild criterion. The point where blue lines cut green lines indicates the border of convective core in rotating model according to the Schwarzschild criterion.

Current usage metrics show cumulative count of Article Views (full-text article views including HTML views, PDF and ePub downloads, according to the available data) and Abstracts Views on Vision4Press platform.

Data correspond to usage on the plateform after 2015. The current usage metrics is available 48-96 hours after online publication and is updated daily on week days.

Initial download of the metrics may take a while.