Free Access

Fig. 6

image

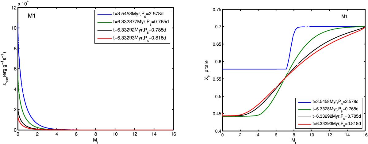
Left panel: variations of the energy generation by nuclear reactions as a function of the Lagrangian mass at four different evolution points at critical rotation. The recipient approaches the critical rotation at the time of ~6.33 Myr. Right panel: variation of internal distribution of hydrogen mass fraction as a function of the Lagrangian mass at four different evolution points.

This figure is made of several images, please see below:

Current usage metrics show cumulative count of Article Views (full-text article views including HTML views, PDF and ePub downloads, according to the available data) and Abstracts Views on Vision4Press platform.

Data correspond to usage on the plateform after 2015. The current usage metrics is available 48-96 hours after online publication and is updated daily on week days.

Initial download of the metrics may take a while.