Free Access

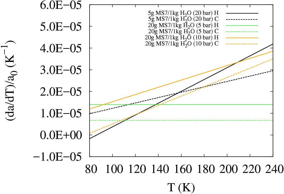
Fig. 4

image

Thermal expansion coefficient for CO2 clathrate hydrates formed in solutions of MS10.5 and MS3.1 derived from the polynominal fits to the data in Fig. 3. Black: MS3.1/20 bar; green: MS10.5/5 bar; orange: MS10.5/10 bar. H = Heating and C = Cooling.

Current usage metrics show cumulative count of Article Views (full-text article views including HTML views, PDF and ePub downloads, according to the available data) and Abstracts Views on Vision4Press platform.

Data correspond to usage on the plateform after 2015. The current usage metrics is available 48-96 hours after online publication and is updated daily on week days.

Initial download of the metrics may take a while.