Free Access

This article has an erratum: [https://doi.org/10.1051/0004-6361/201629800e]


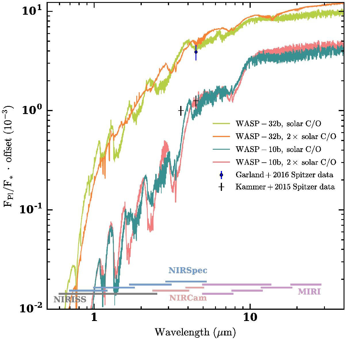
Fig. 4

image

Synthetic emission spectra of the planets WASP-32b and WASP-10b for the clear fiducial models with solar C/O ratios and for the cases with C/O ratios twice as large as solar. We also plot existing Spitzer photometry for the targets by Garland et al. (2016, WASP-32b) and Kammer et al. (2015, WASP-10b). A dayside-averaged insolation was assumed for both planets. For clarity, both the synthetic spectra and data of WASP-32b have been multiplied by an offset factor of three.

Current usage metrics show cumulative count of Article Views (full-text article views including HTML views, PDF and ePub downloads, according to the available data) and Abstracts Views on Vision4Press platform.

Data correspond to usage on the plateform after 2015. The current usage metrics is available 48-96 hours after online publication and is updated daily on week days.

Initial download of the metrics may take a while.