Free Access

Fig. A.1

image

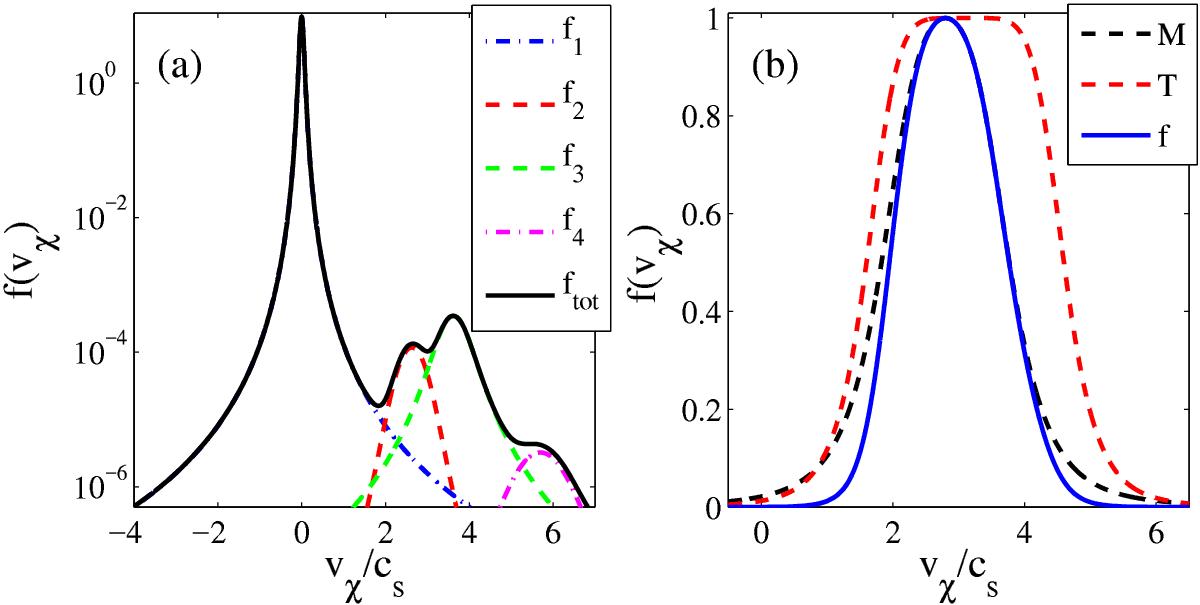
Illustration of the distribution function model. a) The total and the four components of the distribution function shown by the blue curves in Figs. 4f and i. b) The M(v) and T(v) factors of Eq. (3) and the product f(v) = M(v)T(v) for the rising slope of the tail in Figs. 4d and g. The velocity scale is normalised to .

Current usage metrics show cumulative count of Article Views (full-text article views including HTML views, PDF and ePub downloads, according to the available data) and Abstracts Views on Vision4Press platform.

Data correspond to usage on the plateform after 2015. The current usage metrics is available 48-96 hours after online publication and is updated daily on week days.

Initial download of the metrics may take a while.