Free Access

Fig. 7

image

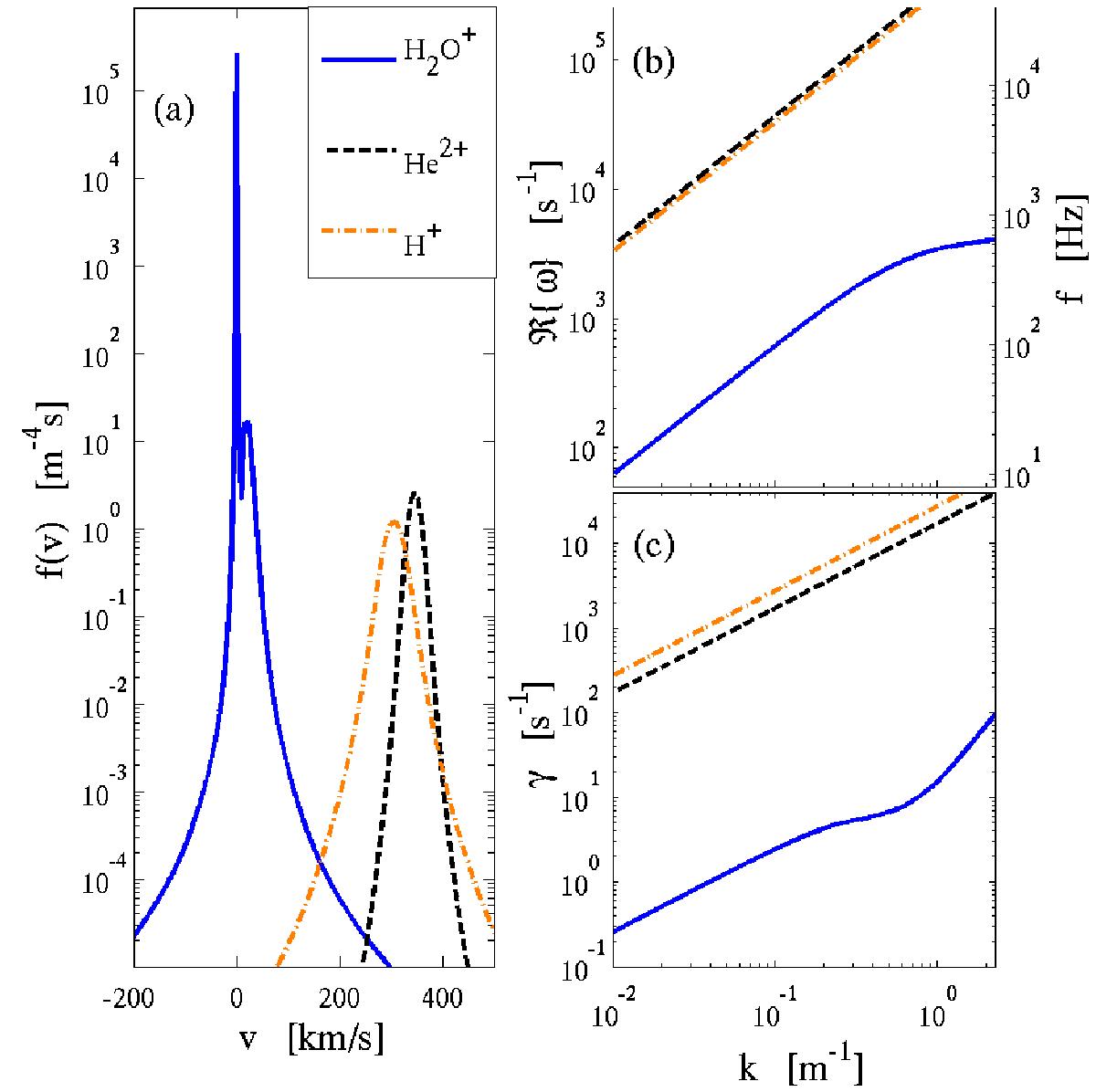
Dispersion relations at 08:00 on 20 January 2015. a) Distribution functions for cometary water ions (solid blue curve) and solar wind protons (dash-dotted orange curve) and alpha particles (dashed black curve). b) Real part of ω as a function of wave number. c) The imaginary part of ω as a function of wave number. In this case γ> 0 for all three curves, which means that these modes are damped. The blue curves represent the same mode as the blue curves in Fig. 8.

Current usage metrics show cumulative count of Article Views (full-text article views including HTML views, PDF and ePub downloads, according to the available data) and Abstracts Views on Vision4Press platform.

Data correspond to usage on the plateform after 2015. The current usage metrics is available 48-96 hours after online publication and is updated daily on week days.

Initial download of the metrics may take a while.