Free Access

Fig. 8

image

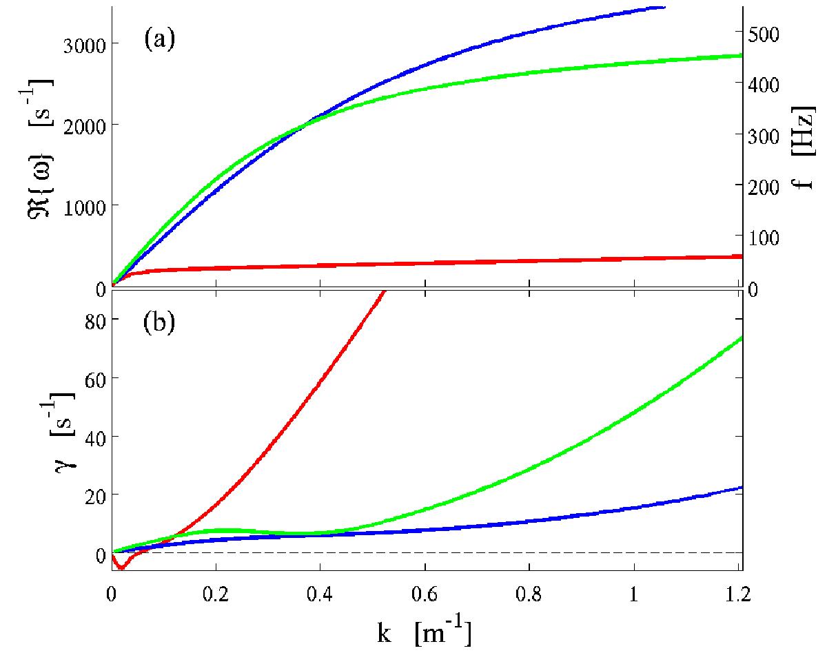
Dispersion relations at 08:00 on 20 January 2015. a) Real part of ω as a function of wave number. b) The imaginary part of ω as a function of wave number. For growing modes γ< 0 and for damped modes γ> 0. The red, blue, and green curves correspond to the distribution functions shown in Figs. 4d and g by the red, blue, and green curves, respectively.

Current usage metrics show cumulative count of Article Views (full-text article views including HTML views, PDF and ePub downloads, according to the available data) and Abstracts Views on Vision4Press platform.

Data correspond to usage on the plateform after 2015. The current usage metrics is available 48-96 hours after online publication and is updated daily on week days.

Initial download of the metrics may take a while.