Free Access

Fig. 3

image

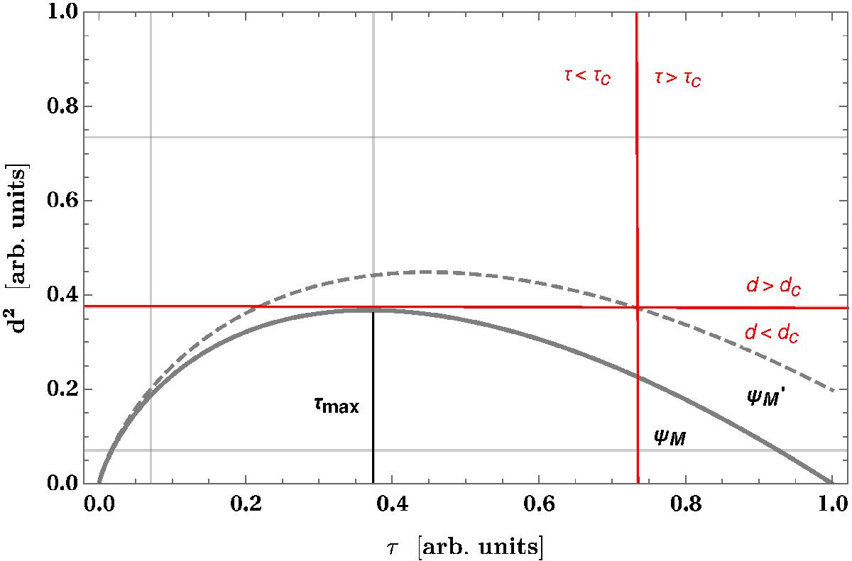
Solid gray line: locus of source ages and distances giving the same flux as the maximal one ψM yielded by a source located at distance dc from the Earth, attained for . Dashed gray line: locus of source ages and distances giving the same flux as the one of a source of age τc and distance dc. In the case shown (τmax<τc), the flux is also the maximal flux from a source farther than dc and older than τc.

Current usage metrics show cumulative count of Article Views (full-text article views including HTML views, PDF and ePub downloads, according to the available data) and Abstracts Views on Vision4Press platform.

Data correspond to usage on the plateform after 2015. The current usage metrics is available 48-96 hours after online publication and is updated daily on week days.

Initial download of the metrics may take a while.