Free Access

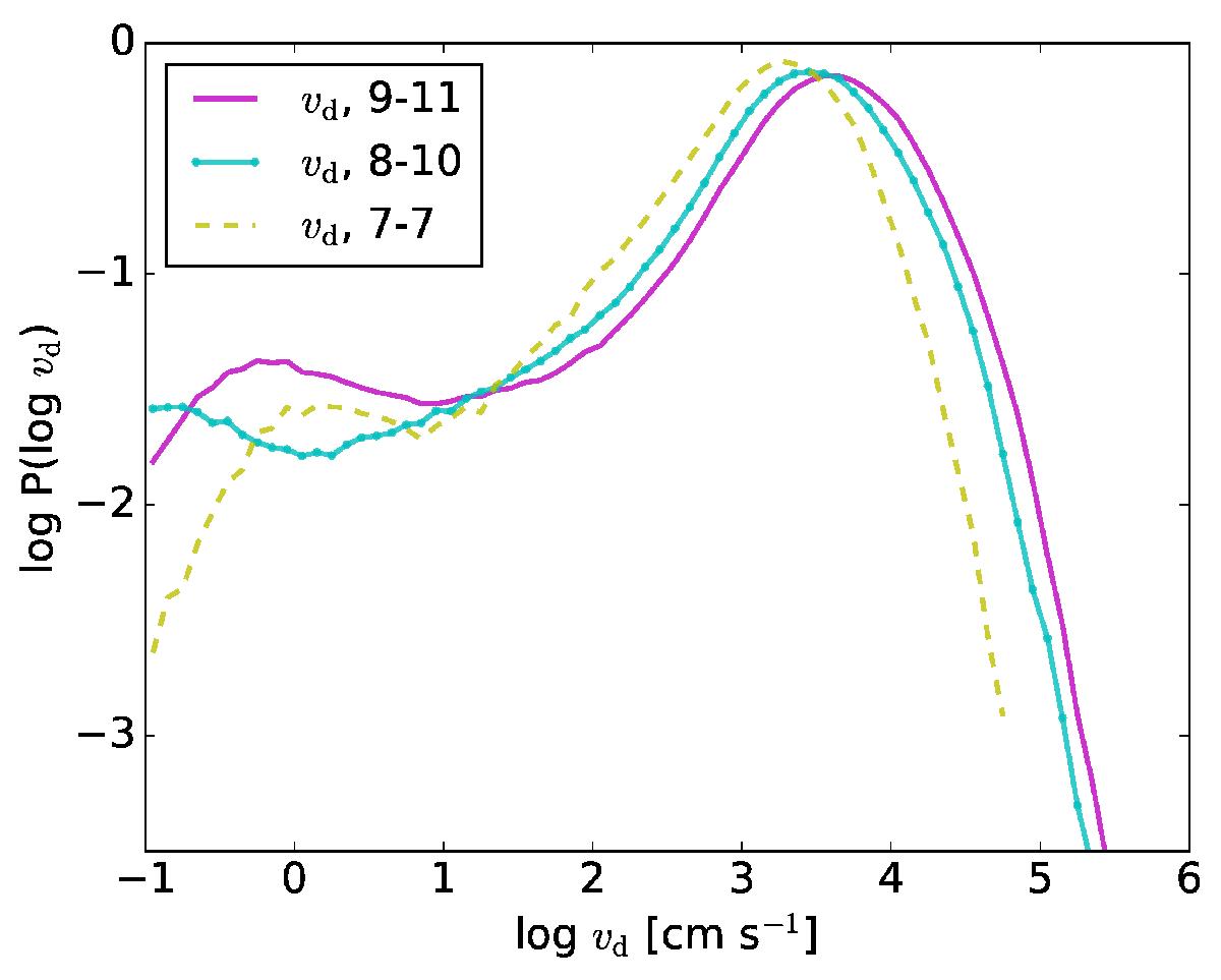
Fig. 10

image

Normalised probability distribution (P) of the ion-neutral drift velocity estimated from ideal MHD simulations at different numerical resolutions. Numbers in the legend indicate the lowest and highest resolution level () used for the AMR.

Current usage metrics show cumulative count of Article Views (full-text article views including HTML views, PDF and ePub downloads, according to the available data) and Abstracts Views on Vision4Press platform.

Data correspond to usage on the plateform after 2015. The current usage metrics is available 48-96 hours after online publication and is updated daily on week days.

Initial download of the metrics may take a while.