Free Access

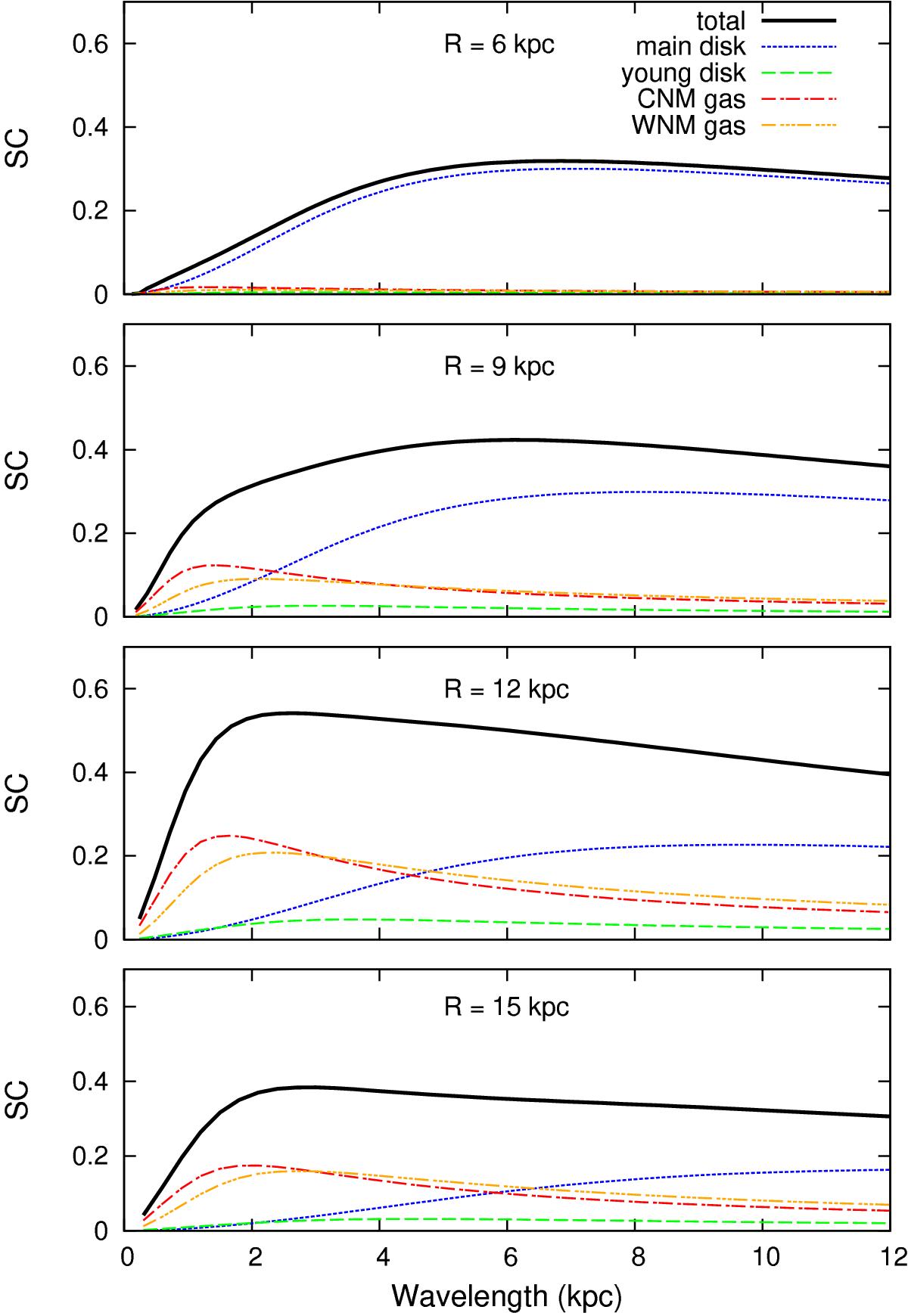
Fig. 6

image

Calculated individual terms in stability curve SC for all stellar and gas disc components at galactocentric distances R= 6, 9, 12, and 15 kpc as a function of the perturbation wavelength.

Current usage metrics show cumulative count of Article Views (full-text article views including HTML views, PDF and ePub downloads, according to the available data) and Abstracts Views on Vision4Press platform.

Data correspond to usage on the plateform after 2015. The current usage metrics is available 48-96 hours after online publication and is updated daily on week days.

Initial download of the metrics may take a while.